You might have entered it into Wolfram Alpha incorrectly! Check the last equation, for example:
Not 52.
Using Mathcad I get:
You will need to use a numerical method, such as Newton-Raphson (This graph should help with an initial guess):
Here's my attempt. I assume that the closest will be when AB is stretched taut:
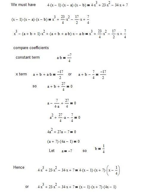
"Factor f(x) into linear factors given that k is a zero of f(x).f(x) = 4x3 + 23x² – 34x +7; k= 1"
Like so:
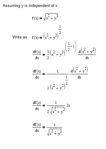
As follows:
I'll let you turn the Amps into milliamps.
"If a snowball melts so that its surface area decreases at a rate of 4 cm ^ 2 / min. find the rate at which the diameter decreases when the diameter is 39 ."
Do you mean 39cm? A big snowball!!
Can you take it from here?
Using the web2.0 calculator on the home page here, enter: asin(-0.3148)+180, making sure the calculator is in degree mode (adding 180 ensures the result will be in the third quadrant). Then round the result to the nearest tenth of a degree. (Use the 2nd button to make asin appear)
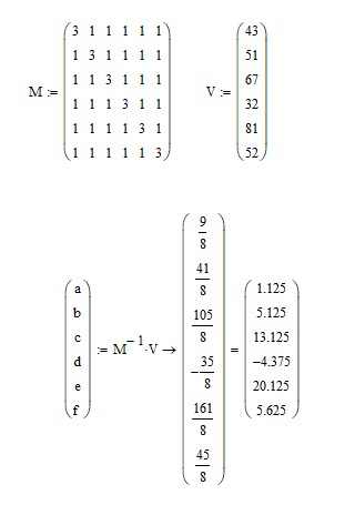
"The sum of the first n positive even integers is 12432. compute the value of n."