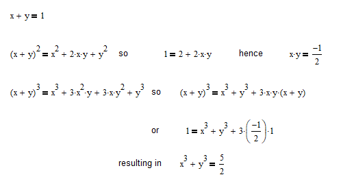
Like so:
Tackle these sort of problems like this:
As follows:
The cosine rule here can be written as:
12^2 = a^2 + 10^2 - 2*a*10*cos(60deg)
or a^2 - 20*cos(60deg)*a - 44 = 0
solve the quadratic equation to find a.
To find the value of a that makes the curve continuous at the upper intersection, set x = 2 in the upper two expressions and equate them:
i.e. a*(2) + 3 = (2) + 5
or 2a+3 = 7
a = 2
Similarly to find the value of b that makes the curve continuous at -2, set
(-2) + 5 = 8*(-2) + b
I'll let you finish.
"Let f(x) be a polynomial such that f(0) = 4,f(1) = -5, and f(2) = 11. Find the remainder when f(x) is divided by x(x - 1)(x - 2)."
Note: The equation for r(1) should be: a + b + c = -5.
This should help:
2010a + 2014b = 2018 (1)
2012a + 2016b = 2020 (2)
Subtract: (2) - (1)
2a + 2b = 2 or
a + b = 1 (3)
so b = 1-a, put this into (1)
2010a +2014(1 - a) = 2018 Simplify:
-4a = 4
a = -1
put this back into (3) to find b, then find a - b.
Alternatively, you could just add them all up to get
10a + 10b + 10c + 10d = 0
so: a + b + c + d = 0
See answer at https://web2.0calc.com/questions/this-problem-hurts#r2