Looks like the peak occurs at x = 7.5. Because of the symmetry of a quadratic the value of y(7.5 + 7.5) will be the same as y(7.5 - 7.5). In other words y(15) = y(0). It is easy to see what this value is on the graph.
The quickest way to answer this is to enter 25!/10! in the calculator on the home page here.
If n is a positive integer, and \(0 \le x \le 1\) then \(\lfloor nx \rfloor\) can take take the values 0, 1, 2, ... n i.e it can take n+1 values.
This should help you to answer the question.
Hint: Add up the four equations.
Look at the answer to the question here: https://web2.0calc.com/questions/real-numbers-x-y-are-randomly-chosen-from-the-interval#r1
With a small modification you should be able to use this to answer your question.
Now answered.
You have three simultaneous equations:
b = g + 48
r = b + 10
b/4 + g/2 + r = 315
Solve these for b, g and r to get the answers.
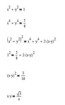
As follows:
You can do it like this:
n = 100 does the trick.
(if we allow preceding zeros for n, then n = 015 works. 015+015! = 1307674368015)