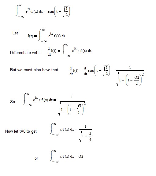
I get \(\sqrt2\) as follows:
Two ways to do it are as follows:
I'll leave you to solve the equations.
Set \(y=Ae^{u\times x}\) and plug this into the ODE. You shoud get two values for u, so your solution can be written as
\(y=Ae^{u_1 \times x}+Be^{u_2 \times x}\)
Use your boundary conditions to find A and B.
Like so:
Yes, the polynomial is:
p(x) = (-29/40320)x5 + (3/160)x4 + (-1571/8064)x3 + (163/160)x2 + (-3081/1120)x + (27/8)
This is the result I get, using Mathcad:
A graph often helps:
As follows:
See the following:
When x = 0, y = 7 so 7 = a*0^2 + b*0 + c
When x = 3, y = 1, so 1 = a*3^2 + b*3 + c
When x = 6, y = 7, so 7 = a*6^2 + b*6 + c
You now have three simultaneous equations for the three unknowns. I'll leave you to solve them.