3 sqrt ( -27) = 3 sqrt (9 * -3) = 9 sqrt (-3) = 9 ( i sqrt (3) )
$ 14 * 7.5 + 2.5 * 1.5 * 14 = $ 157.50 for the day
x = original amount
eats 1/4 leaves 3/4 x
3/4 x + 24 - 36 - 30 = 0 solve for 'x' the original amount
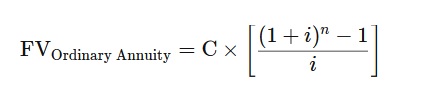
Payments at the END of the period (year) describe an ORDINARY ANNUITY
C = 600 n = 10 (years) and i = .0425
I let you do the calcualtion to find FV
a = 5 b = -5 ab = -25
a-b =10 then a = 10 + b
Find the minimum of (10+b)(b) = b^2 + 10 b parabola with min occurs at b = - 10/(2*1) = -5
with b = -5 a = 5
5 choices for first position
4 choices remain for second position
3 choices remain for third position 5 x 4 x 3 = _________ ways
Ahhh.... I get it now
sqrt (225-8b) >0 and a perfect square (to be RATIONAL)
But this needs to be a perfect square
so b = 7 13 18 22 25 27 28 Thanx, Alan !
(-4/3)^2 = ( r^2 + s^2) + 2 ( -4) you can finish, yah?
Just simple algebra from here :
16/9 = ( r2 + s2) - 8
(16/9 ) + 8 = r2 + s2
Well, YOUR great mind is unlikely wrong ! Mine is wrong quite regularly ! Ha Ha !