3 3/8 = 27 /8
27/8 / 3/8 = 27/8 X 8/3 = 9 poles
6 2/3 / 1 1/2 = 20/3 / 3/2 = 20/3 X 2/3 = 40/9 = 4 4/9 containers
y=(x-(-3) ) (x-2)
y = f(x) = x^2 +x -6
The x-intercept occurs when y= 0 so put y= 0 in to the equation
5x-12(0) = 60
x = 12
Similarly the y-intercept occurs when x =0
5(0) -12y = 60
y=5
Distance between = sq rt (12^2 + 5^2) = 13 (Pythagorean theorem)
First , let's do the right multplctn
15x^2 -25x - 12x + 20 -2x+3 now collect 'like' terms
15x^2 -39x + 23 Is that what you need?
72 half gallons /( 1 2/3 cup/cake *.125 half gal/cup ) = 345.6 = 345 cakes
1/3 means that 1 out of 3 coins is a quarter 1/3 x 288 = 96 Qs
1/6 1/6 x 288 = 48 Qs
See how that works? Can you do the others?
Assuming you can use the numbers more than one time....up to three times:
33 x 33 x 33 = 35937 possible 'outcomes'
Equalateral triangle angles ALL equal 60 degrees
so 60 = 3x+27 solve for x = 11
60 = 2y-4 y= 32
then x+y = 11 + 32 = 43
Hey Rom..... Can you explain why 'clearly p = 3 ' ? I know you found the correct answer, but why couldn't you assume at that point p = 8? or p= 13 etc? Thanx ~EP
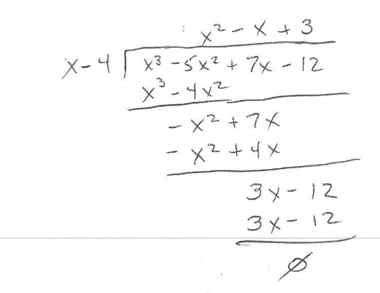
Here is my 'Long Division' answer: