Ich schicke Dir die Antwort. Ich muss sie nur noch später tippen.
Ich habe noch einen kleinen Fehler gesehen. Vergleiche mal mit oben. Die 2 muss weg. Es sind ja nur ungerade Zahlen.
Sorry
Hallo Kekel,
falls Du noch Fragen zu den einzelnen Induktionsschritten hast,
melde Dich noch mal bei mir.
Hallo zusammen,
ich komme bei dieser Aufgabe nicht zum Beweis
1² + 3² + ... + (2n – 1)² = n * (2n – 1) * (2n + 1)/3
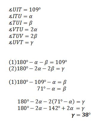
The angle at V is always 38 °.
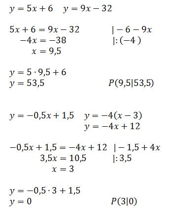
What are the points of intersection of the following two pairs of equations?
This is the problem:
What number does X have to be so that the following equasion is correct:
2^(x-1) + 2^(x-4) + 2^(x-2) = 6,5555...
Hier ist mein Lösungsweg:
D. You can map △ABC onto △A′B′C′ by rotating it 180° about the origin and translating it 2 units right, which is a sequence of rigid motions.