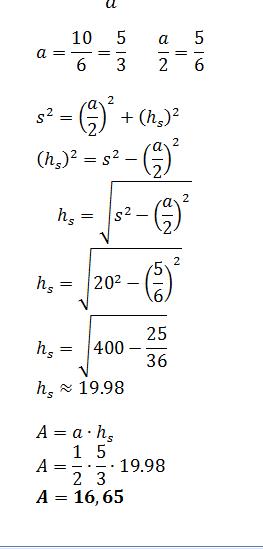
10)Let ABCDE be a pyramid, where the base ABCD is a square of side length 10. The total surface area of pyramid ABCDE (including all five faces) is 260.
Let M, N, P, and Q be the midpoints of AE, BE, CE, and DE, respectively. Find the total surface area of frustum ABCDMNPQ.


