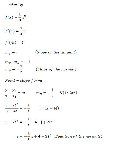
Sketch the parabola x2 = 4by . The tangent and normal at a point P( 2bt, bt2)
meet the axis
of the parabola in D, E respectively.
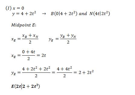
(i) Find the coordinates of D and E.
(ii) Show that the focus Q is the midpoint of DE.
(iii) Hence prove that Q is the centre of a circle through D, P, E.
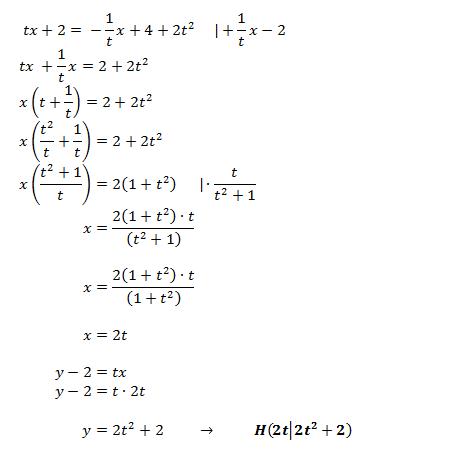
(iv) If the normal at P intersects the x-axis in F find F and the length of PF. Hence prove that PF:PD = t:2
https://picload.org/view/doooiwia/108.jpg.html
https://picload.org/view/doooiwlw/109.jpg.html
https://picload.org/view/doooiwow/110.jpg.html
https://picload.org/view/doooiwdi/111.jpg.html
https://picload.org/view/doooiwdw/112.jpg.html
https://picload.org/view/doooiwar/113.jpg.html
https://picload.org/view/doooiwaa/114.jpg.html
https://picload.org/view/doooiwal/115.jpg.html
![]()
3: A circle with center O has radius 8 units and circle P has radius 2 units. The circles are externally tangent to each other at point Q. Segment TS is the common external tangent to circle O and circle P at points T and S, respectively. What is the length of segment OS? Express your answer in simplest radical form.
https://picload.org/view/doorppir/98.jpg.html
![]()
4: In the diagram, if triangle ABC and triangle PQR are equilateral, then what is the measure of angle CXY in degrees?
https://picload.org/view/doorpwcl/99.jpg.html
![]()
5: Circle is the incircle of triangle ABC and is also the circumcircle of triangle XYZ. The point X is on line BC, point Y is on overline AB, and the point Z is on line AC. If angle A=40 degrees, angle B=60 degrees, and angle C=80 degrees, what is the measure of angle AYX?
https://picload.org/view/doorwaol/100.jpg.html
![]()
1: A right square pyramid with base edges of length 8sqrt2 units each and slant edges of length 10 units each is cut by a plane that is parallel to its base and 3 units above its base. What is the volume, in cubic units, of the new pyramid that is cut off by this plane?
https://picload.org/view/doorrdli/96.jpg.html
![]()
2: A rectangular box has interior dimensions 6-inches by 5-inches by 10-inches. The box is filled with as many solid 3-inch cubes as possible, with all of the cubes entirely inside the rectangular box. What percent of the volume of the box is taken up by the cubes?
https://picload.org/view/doordrgl/97.jpg.html
![]()