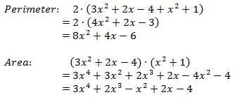
A rectangle with positive area has length represented by the expression 3x2 + 2x - 4 and width by x2 +1. Write expressions in terms of x for the perimeter and area of the rectangle. Give your answers in standard polynomial form and show your work.
1) false
2) true
Yes ∆GHI ~∆KLM by AA Similarity.
Yes ∆DEF ~∆UVW by AA Similarity.
Yes, because all corresponding angles are congruent and all corresponding sides are proportional.
30 : 12 = 2.5
22.5 : 9 = 2,5
7.5 :3 = 2.5
15 :6 = 2.5
∆ABC ~ ∆EFG. If BD=36 cm, find FH.
What is the height of the tower?
What is the scale factor?
What is AD?
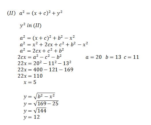
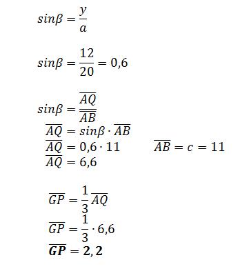
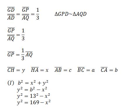
In triangle ABC, AB = 11, AC = 13, and BC = 20. The medians AD, BE, and CF of triangle ABC intersect at the centroid G. Let P be the foot of the altitude from G to BC. Find GP.