-7x-14-4+3x = -4x+18 ist die Lösung richtig?
Das ist die Gleichung und nicht die Lösung
math help thank u
or
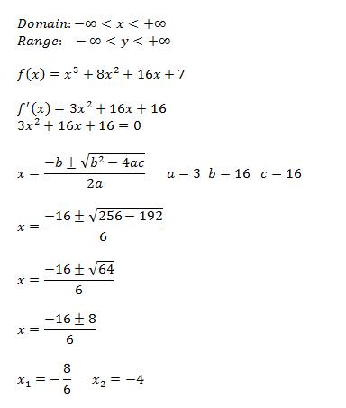
Please help asap >.<
(x^5 - 5x^4 + 6x^3 - 5x^2 + 16x - 3) : (x - 3) = x^4 - 2x^3 - 5x + 1 x^5 - 3x^4 ——————————————————————————————————————— - 2x^4 + 6x^3 - 5x^2 + 16x - 3 - 2x^4 + 6x^3 —————————————————————————————————— - 5x^2 + 16x - 3 - 5x^2 + 15x —————————————————— x - 3 x - 3 —————— 0
A
The answer is correct.
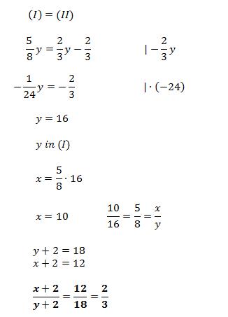
Two numbers are in the ratio 5 to 8. When 2 is added to each, the ratio of the resulting numbers is 2 to 3. Find the numbers.
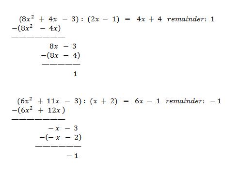
Synthetic div help needed
Hier kommt der ausführliche Lösungsweg. Das Lösungsbuch hat recht.
Royal Albert Bridge
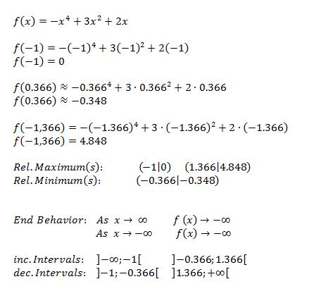
Zur Veranschaulichung gedacht.
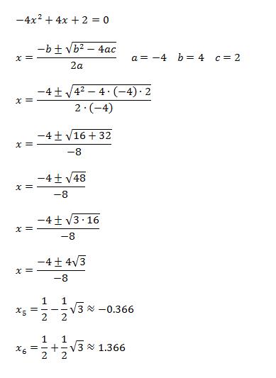
complete the square help needed thank you