1. The space diagonal of a rectangular prism with integer unit dimensions is 13 units. What is the volume of the rectangular prism in cubic units?

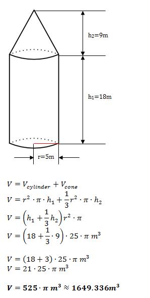
2. Elliott Farms has a silo for storage. The silo is a right circular cylinder topped by a right circular cone, both having the same radius. The height of the cone is half the height of the cylinder. The diameter of the base of the silo is 10 meters and the height of the entire silo is 27 meters. What is the volume, in cubic meters, of the silo?

3. A 3 cm x 4cm x 5cm rectangular metal block was put into a well that took the shape of a right circular cylinder. When the block was submerged, the water level in the container had increased by 0.5 centimeters. What is the base area of the well in square centimeters?

4. The base of a right circular cone has area 9pi square yards. The lateral surface of the cone has area 15pi square yards. What is the volume of the cone in cubic yards?

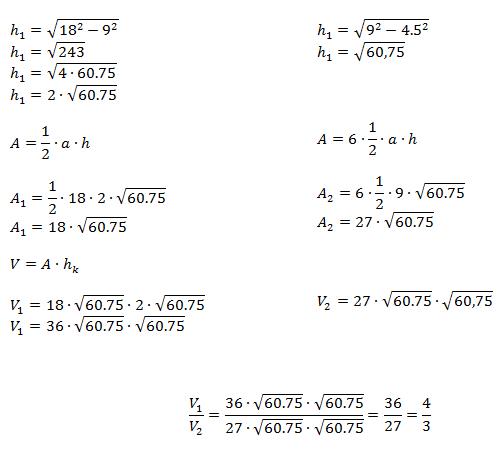
5. Prism A has 9 edges and each of its faces is a regular polygon with side length 18. Prism B has 18 edges and each of its faces is a regular polygon with side length 9. What is the ratio of the volume of Prism A to that of Prism B?


6. A right square pyramid with base edges of length 8 sqrt 2 units each and slant edges of length 10 units each is cut by a plane that is parallel to its base and which sits 3 units above its base. What is the volume, in cubic units, of the new pyramid that is cut off by this plane?


