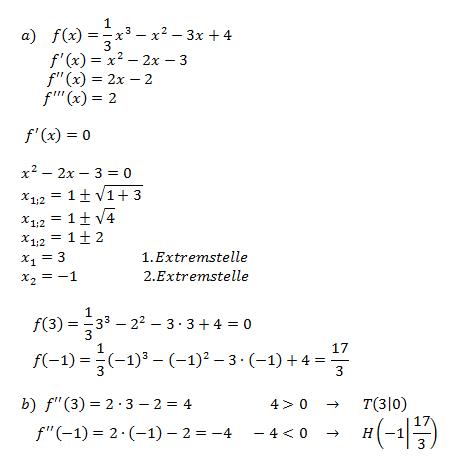
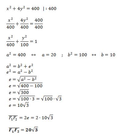
Die Funktion f ist mit f(x)= 1/3x^3 -x^2 -3x +4 gegeben.
a) Berechne Die Extremstellen von f und gib die Hoch- und Tiefpunkte des Graphen von f an.
b) Begründe mit Hilfe von f''(x), warum es sich um den Hoch- bzw. den Tiefpunkt handelt.


Dort, wo die die Funktion ihre Extrmpunkte hat, liegen die Nullstellen der ersten Ableitung.
Ist die zweite Ableitung dort negativ, handelt es sich um einen Hochpunkt.
Ist die zweite Ableitung dort positiv, handelt es sich um einen Tiefpunkt.
Es kann auch vorkommen, dass die 2. Ableitung gleich Null ist. Dann handelt es sich um einen
Sattelpunkt. Aber das wird sicherlich noch behandelt.
Einen schönen Sonntag noch.
