Ein Radrennfahrer fährt Reibungsfrei einen Hang (4km) mit einer Steigung von 16% hinauf. Der Mann mit Ausrüstung hat eine Masse von 90kg
https://free-picload.com/images/2019/08/18/221.jpg
https://free-picload.com/images/2019/08/18/222.jpg
Ich kann im Forum immer noch keine Bilder hochladen.
Follow the link:
https://free-picload.com/images/2019/08/17/219.jpg
Express the equation of the line
https://free-picload.com/images/2019/08/17/218.jpg
Follow the link.
Da sich keine Bilder hochladen lassen, greife ich auf pic-load zurück.
https://free-picload.com/images/2019/08/17/216.jpg
https://free-picload.com/images/2019/08/17/217.jpg
Einfach anklicken.
PS.: https://studylibde.com/doc/11627544/mathematische-zeichen-und-symbole
Die grafische Darstellung
https://free-picload.com/images/2019/08/14/215.jpg
Im Forum lassen sich leider keine Bilder hochladen.
Wir rechnen gerne in unserer Freizeit.
https://web2.0calc.com/questions/help-thanks-in-advance_1
A right circular cylinder with radius 2 is inscribed in a hemisphere with radius 5 so that its bases are parallel to the base of the hemisphere. What is the height of this cylinder?
https://free-picload.com/images/2019/07/30/214.jpg
The function y={x^3+8x^2+21x+18}/{x+2} can be simplified into the function y= Ax^2 + bx + c with a point of discontinuity at x=D .What is the sum of the values of A, B, C, and D?
https://free-picload.com/images/2019/07/30/213.jpg
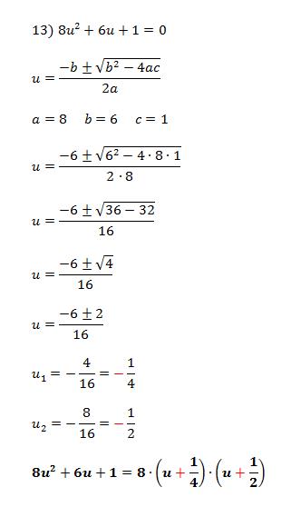
With the solution formula you always get a solution.