The perimeter of a sector of a circle is the sum of the two sides formed by the radii and the length of the included arc. A sector of a particular circle has a perimeter of 28 cm and an area of 49 sq cm. What is the length of the arc of this sector?
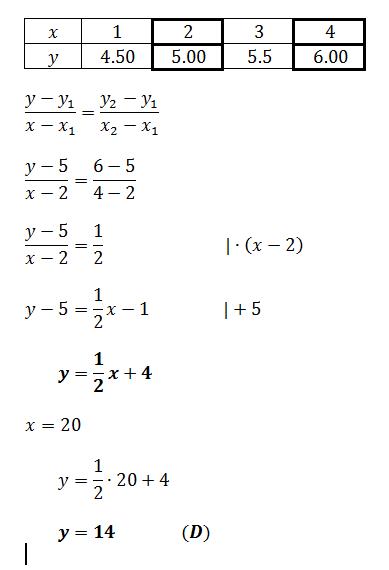
1) Write a linear equation in y = mx + b form to represent the table.
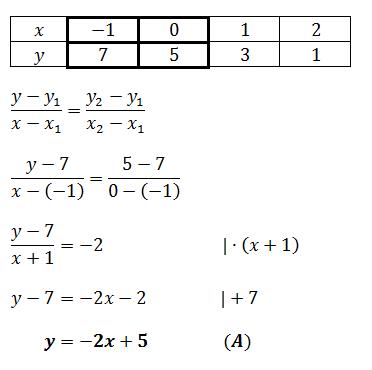
2) Write a linear equation in y = mx + b form to represent the table.
3) Write a linear equation in y = mx + b form to represent the table and then use it to predict the cost for 20 miles.
The graph of the quadratic y = ax^2 + bx + c is a parabola that passes through the points (-1,7),(5,7) , and (6,10) . What is the x-coordinate of the vertex of the parabola?
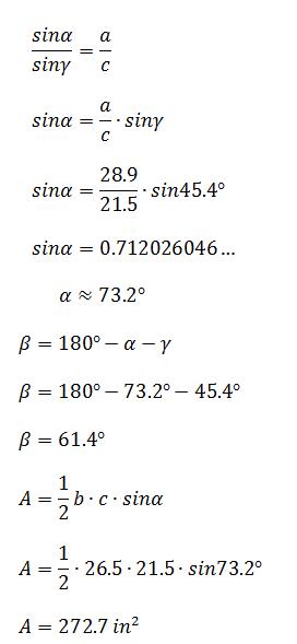
1) a = 28.9 in, b = 26.5 in , c = 21.5 in
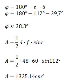
2) In EFD, d = 48 cm , m E = 112° , f = 60 cm
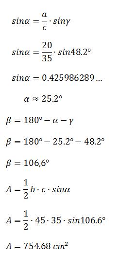
3) In RST, s = 33 km , t = 24 km , m R = 48°
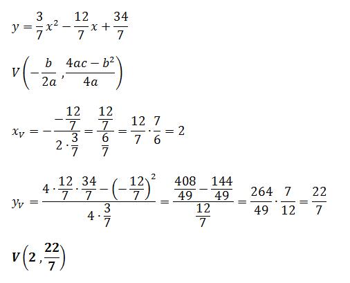
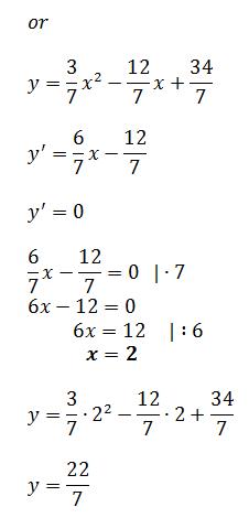
Number 4) you have to calculate like number 1).
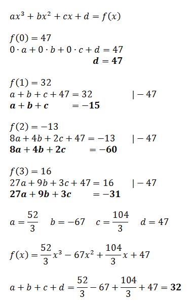
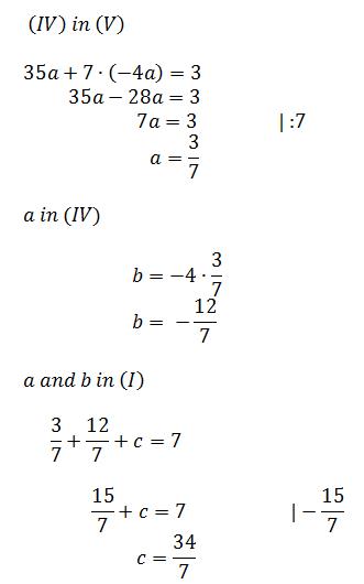
Suppose f is a polynomial such that f(0) = 47 , f(1) = 32 , f(2) = -13 , and f(3)=16 . What is the sum of the coefficients of f ?
Wenn y = m x (X - 5) +2 ist, haben dann alle Geraden mit dieser Gleichung, egal welchen m-Wert, den Punkt 5/2?
Sollte dir etwas nicht klar sein, dann melde dich noch mal.
The following points are the vertices of a parallelogram. (0,0), (2,3), (7,3), (5,0)
Write a system of linear inequalities that represent the parallelogram.
180° - 90°-52° = 38°
A clothing dealer sold two shirts at $12 each. On one he made a profit of 20%; on the other he lost 20%. How many dollars did he lose on the two sales combined?
He lose on the two sales combined $1.
2p^2 - 11pq + 24q^2
A. (2p-4q)(p-4q) = 2p^2 -8pq - 4pq + 16q^2 = 2p^2 - 12pq + 16q^2
B. (2p-4q)(p+4q) = 2p^2 + 8pq -4pq - 16p^2 = 2p^2 + 4pq - 16
C. (2p-4q)(2p^2+2q) = 4p^3 +4pq - 4p^2q - 8q^2
D. The polynomial is irreducible