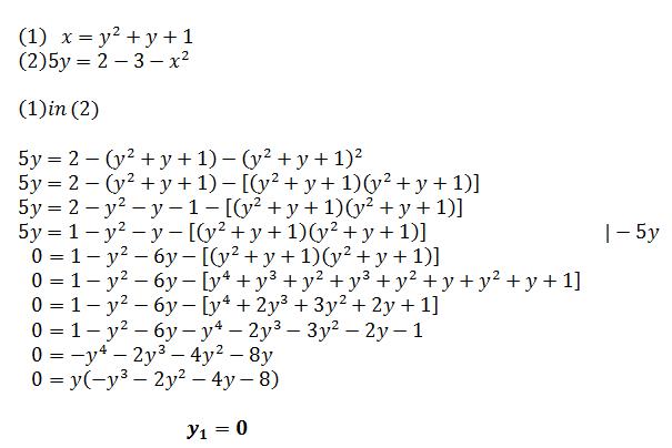
Solve the system x = y^2 + y + 1, 5y = 2 - x - x^2.
2log3 + 2 = 2*0.477121255 + 2 = 0.954242509 + 2 = 2.954242509
log900 = 2.954242509
x = 3 is correct
2log x+2 =logx2+2
but
2log(x+2)=log(x+2)2
My solution is a bit shorter.
Now you can go on alone.
The equation x^2 - kx - 12 = 0 has only integer solutions for certain positive integers k. What is the sum of all such values of k?
1+4+11=15
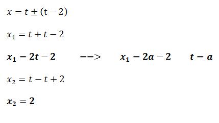
a=t, weil man das a mit dem a der Mitternachtsformel verwechseln könnte.
Alle Parabeln gehen durch (2|0) und (2a-2|0)
Auf der Ortskurve liegen die Scheitel der Parabeln.
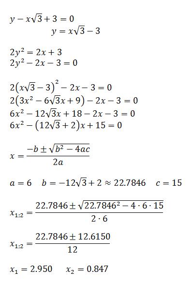
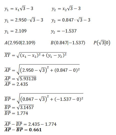
The line intersects the parabola at points A and B.
This is my answer:
Brad has a cylindrical barrel with radius 10 inches and height 15 inches. He wants to fill it from a well, using a bucket in the shape of a hemisphere with a radius of 10 inches. How many trips must Brad make to the well in order to fill the barrel?