Find AB/CD.
So it is correct.
I hope this helps, too.
I just dont understand this, its the last question and i need help.
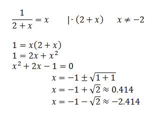
Solve (2 + x)^(-1) = x.
Two thousand nine hundred and forty unit squares are assembled together to exactly form an 84 by 35 rectangle. One diagonal of the rectangle is drawn. This diagonal intersects the interiors of how many of these unit squares?
Quadrilateral ABCD is a parallelogram. The midpoints of AB and AD are M and N, respectively. Let P be the intersection of DB and CM and let Q be the intersection of DB and CN. Compute PQ/DB.
\(\Theta \) = 80°
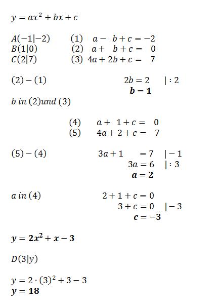
The graph of a quadratic function passes through the points with coordinates (-1,-2), (1,0), (2,7), and (3,y). Find y.
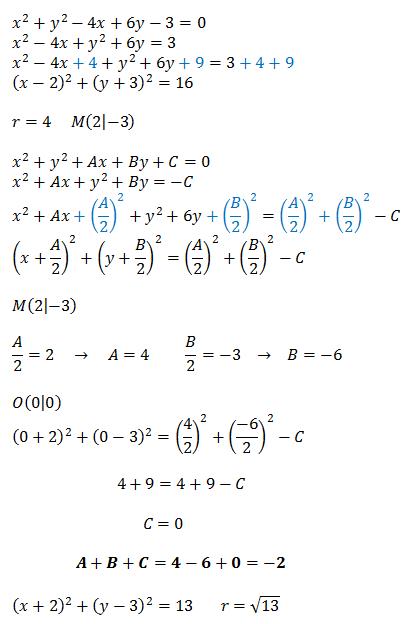
The circle x^2 + y^2 + Ax + By + C = 0 passes through the origin, and has the same center as the circle x^2 + y^2 - 4x + 6y - 3 = 0. What is A + B + C?