The figure to the right shows an irregular hexagon with six circles of radius 1, where the hexagon's vertices are the circles' centers. Find the sum of the areas of the black regions.
The circle above has center O and area 9*pi. Triangle ABC is equilateral. Find its area.
Ich habe eine Formel die mir der Webrechner wunderbar ausrechnet ich abe nicht nachvolziehne kann, wie er das macht.
Anyone got algebraic or system of equations challenge?!!
Einfach mal durchlesen:
https://www.gut-erklaert.de/mathematik/pq-formel-video.html
https://www.mathebibel.de/pq-formel
Es gibt auch noch die a-b-c Formel.
https://www.frustfrei-lernen.de/mathematik/abc-formel.html
There is a circle being inscribed in an equilateral triangle, such that it touches all 3 sides of the triangle. What is the ratio of the radius of the circle to the side length of the triangle?
ABCDE is a regular pentagon. On the outside of AB, we construct a square ABFG. What is the measure, in degrees, of angle EAG?
Thanks for the information. I have corrected my mistakes. I'm sorry.
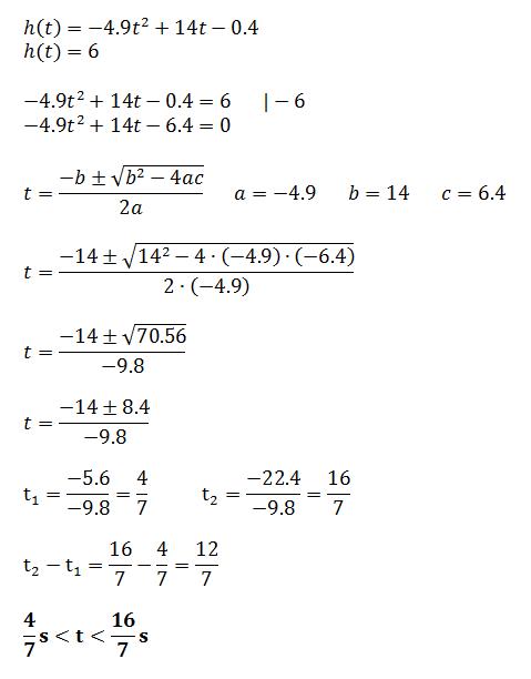
As an improper fraction, for how long is the cannonball above a height of 6 meters?
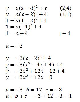
Find the equation whose graph is a parabola with vertex (2,4), vertical axis of symmetry, and contains the point (1,1). Express your answer in the form "ax^2+bx+c". Thanks!
With four tangent unit circles, we can form two squares. The large gray square is formed by the tangency points between the circles. The small blue one is formed by joining the midpoints of each arc that are formed by tangency points.
Find the difference of between the area of the gray square and that of the blue square.