What is the value of cos 0 given that (-2,9) is a point on the terminal side of 0?
What is the value of sin 0 given that (-6,-8) is a point on the terminal side of 0?
I hope this is how you mean it.
9+8+7+6+5+4+3+2+1=45
n/2(n-1) = 5(10-1) = 5*9 = 45
Let m be a positive integer. In triangle ABC, AB=4,-9, AC=3m+1, BC=3m+4 and angle A > angle B > angle C. How many possible values of m are there?
Initially, $40\%$ of the students at the school dance are girls. Then, $15$ more girls arrive, after which $52\%$ of the students at the dance are girls. How many students are now at the dance after the additional girls arrive?
A rose garden is formed by joining a rectangle and a semicircle. The rectangle is 28 ft long and 22 ft wide. If the gardener wants to build a fence around the garden, how many feet of fence are required.
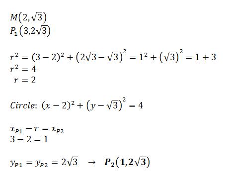
What point do we get when we rotate (3,2sqrt3) around the point (2,sqrt3) by counterclockwise?
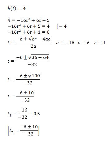
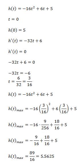
Jon is hitting baseballs. When he tosses the ball into the air, his hand is 5 feet above the ground. He hits the ball when it falls back to a height of 4 feet. The height of the ball is given by h = - 16x^2 + 6t + 5 where in seconds How much time will pass before Jon hits the ball? What is the maximum height the ball attains?
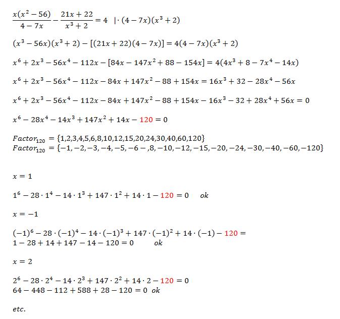
Find the solutions to
Enter all the solutions, separated by commas.
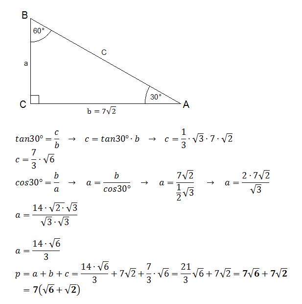
What is the perimeter?