How long are the three parts?
How many cats were at the shelter on Tuesday?
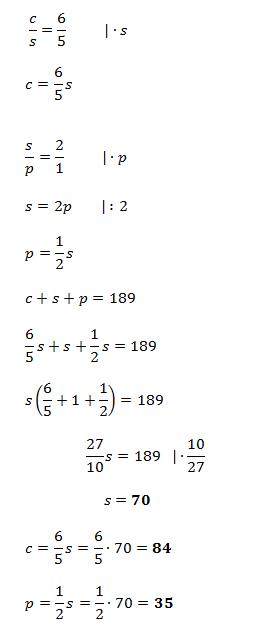
On a farm the number of cows and the number of sheep are in the tatio 6:5 the number of sheep and the number of pigs are in the ratio 2:1 the total number is 189 how many sheep are there on the farm?
Selena's snow cone stand sells small snow cones for $2 and large snow cones for $3.50. One summer day, she sold $163 worth of snow cones. If the number of large snow cones was 12 more than the number of smalls, how many of each size did she sell?
Farah has been saving part of her allowance in a bag every month. The bag containing $2 and $10 notes had a total value of $1068. 6 pieces of $10 notes were exchanged for $2 notes of the same value. In the end, the number of $10 notes was the same as the $2 notes. How many $2 notes were there at first?
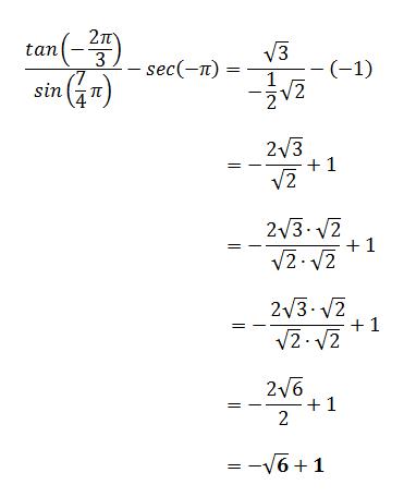
trig help
https://prnt.sc/qrwg0y
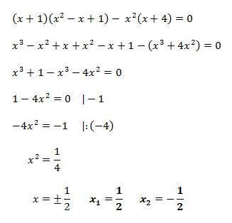
(x+1)(x^2-x+1) - x^2 (x+4)=0
Hallo Gast,
ich habe es bereits gerechnet. Das Tippen dauert eine Weile.
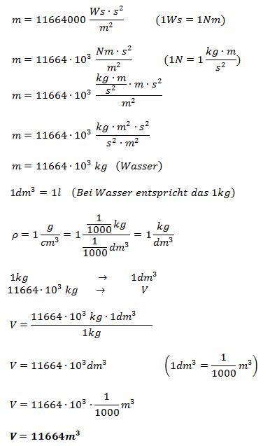
Falls ihr mit 9,81 rechnen müsst, multiplizere das Ergebnis mit 10 und dividiere durch 9,81
ergibt rund 11890 m^3
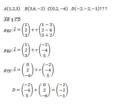
The rectangle ABCD has vertices at A = (1, 2, 3), B = (3, 6, −2), and C = (0, 2, −6). Determine the coordinates of vertex D.
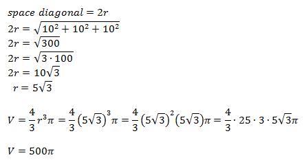
A sphere passes through the eight corners of a cube of side 10cm. find the volume of the sphere