80 machines can produce 4800 identical pens in 5 hours. how many pens produced in 1 hour by 1 machine?
Ich meine, die relative Häufigkeit h beträgt 16/100 = 0,16.
Man kann einen Vektor mit einer Zahl multiplizieren, dann wird er länger oder kürzer oder zeigt in die entgegengesetzte Richtung, ist aber trotzdem
kolinear.
Das wäre die Lösung - sehr einfach.
Vielleicht hilft das folgende Video weiter.
https://www.youtube.com/watch?v=HwGhcyDnmG4
Vielleicht hilft dir das folgende Video weiter.
Sam sees a UFO hovering in the sky. He measures the angle of elevation of the UFO at 30 . He calls Julie, who is 15 miles closer to the UFO and asks her what her angle of elevation to the UFO is. She measures it to be 55 . The alien in the UFO sees the two kids and flies to a point directly over Julie's head (same altitude). This flight takes exactly one minute. How fast did the UFO move in miles per hour.
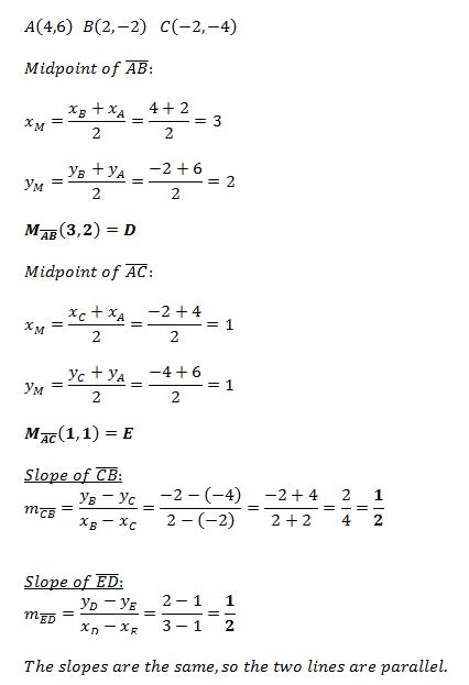
A,B and C are the vertices of a triangle. A has coordinates (4,6). B has coordinates (2,-2). C has coordinates (-2,-4). D is the midpoint of B. E is the midpoint of AC. prove that de is parallel to BC.
A ship travels 60 miles due East, then adjusts its course northward. After traveling 80 miles in that direction, the ship is 139 miles from its point of departure. What is the new bearing of the ship?
In right △ABC , the right angle is at C, m∠A=30∘ , and AC=5√ 5 units.
What is the perimeter of △ABC ?