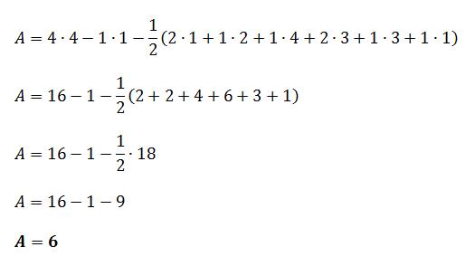
Find the area of the shaded polygons
The parabola with equation y=ax^2+bx+c is graphed with a point of (4,12) and a vertex of (2, -4). The zeros of the quadratic ax^2 + bx + c are at x=m and x=n, where m>n. What is m-n?
What is the value of X
70% of 30 = 0.7*30 = 21
30 + 50 = 80
80% of 80 = 0.8*80 = 64
64 - 21 = 43
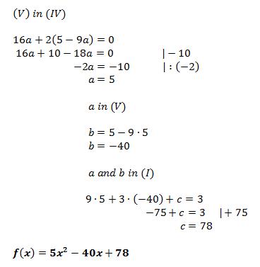
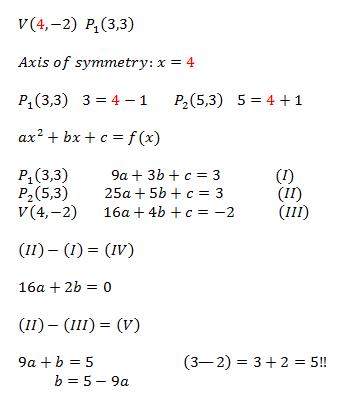
Find a function f whose graph is a parabola with the given vertex and that passes through the given point.
Vertex (4, −2); passes through the point (3, 3)
C: The graph of g(x) is shifted 6 units below and 11 units to the left of the graph of f(x).
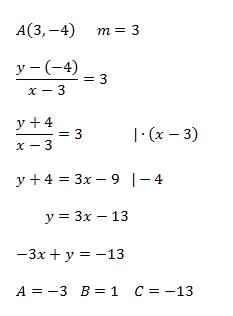
A line passes through point (3, -4) and has a slope of 3. Write an equation in Ax+By=C form for this line. Use integers for A, B, and C.
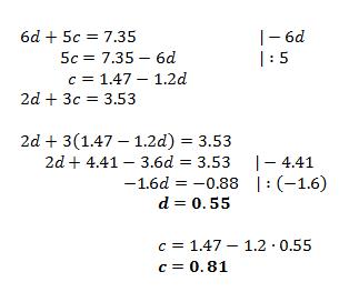
On Monday, Harold picked up six donuts and five large coffees for the office staff. He paid $7.35. On Tuesday, Melinda picked up two donuts and three large coffees for the office staff. She paid $3.53. What is the cost of one donut? What is the cost of one large coffee?
The perimeter of a rectangle is 56 meters. The ratio of its length to its width is 4:3. What is the length in meters of a diagonal of the rectangle?
deledet