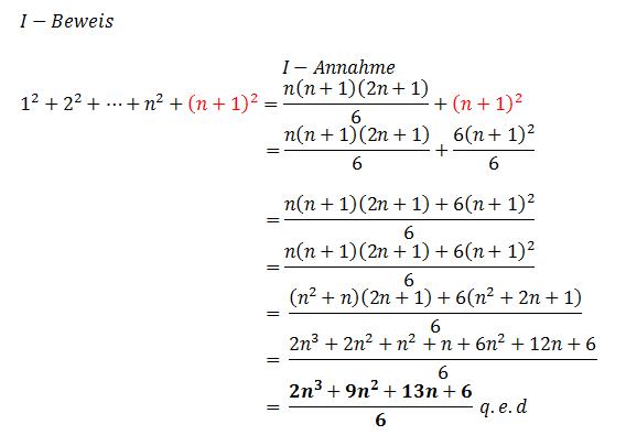
Eine Zahl ist durch 9 teilbar, wenn die Quersumme durch 3 teilbar ist.
Eine Zahl ist durch 10 teilbar, wenn die letzte Ziffer eine Null ist.
Wenn beides gilt, ist die Zahl durch 90 teilbar.
Beispiel:
Zahl: 9510 Quersumme: 9 + 5 + 1 + 0 = 15 , 15 ist durch 3 teilbar 15 : 3 =5
und die letzte Ziffer ist eine Null.
