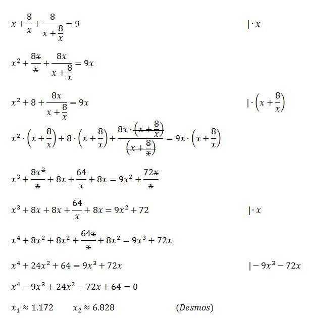
Solve for x
5/6 : 6 = 5/6 : 6/1 = 5/6*1/6 = 5/36
140kg=140000g
140000g : 100g = 1400
Die Mutter ist 1400 mal so schwer.
Find a linear inequality with the following solution set. Each grid line represents one unit.
Plus bedeutet addieren (zuammenzählen) Das Zeichen ist + .
Calculate b and c.
ElectricPawlow's answer is right.
a triangle has sides of lengths 19, 20, 22 .
a) calculate the size of each angle of the triangle.
b) calculate the area of the triangle
Brüche mit mehreren Variablen vereinfachen
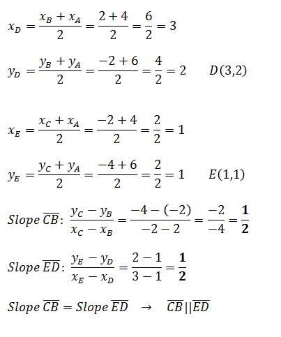
Prove that DE parallel to BC.
1/5 = 0.2 = 20%
100% - 20% - 10% = 70%
He left 70%