Look at the coefficients of the powers of x. These are 1, 10 and 27. Their sum is 1+10+27 = 38. Hence, if x = 1 then f(x) = 0, so the integer root is x = 1.
This should help:
Here is visual confirmation that R = 155/8 is correct.
I get the following:
Like so:
y = 5x + 4 (1)
x + y = 94 (2)
Rearrange (2): y = 94 - x (3)
Substitute (3) into (1)
94 - x = 5x + 4 Collect like terms: 6x = 90, x = 15
Put this back into (1) y = 5*15 + 4 so y = 79
It looks like 2) is the answer.
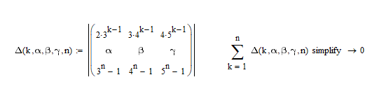
I used the symbolic mathematics part of Mathcad to do this. I guess that with a lot of tedious manipulation by hand you would be able to show the coefficients of alpha, beta and gamma are all zero. I didn't see any nice shortcut!
Use \(N=N0\times 2^{t/19}\) where N = 3300 and N0 = 2400
Take logs and rearrange: \(t = 19\times \log_2(3300/2400)\)
I'll let you crunch the numbers.
\(8-2\frac{5}{9}=8-(2+\frac{5}{9})=6-\frac{5}{9}=5\frac{4}{9}\)
As follows: