I think your reasoning is correct.
The following should help:
"Find all solutions to 4^x - 2^x = 56 + 11*2^x + 2^(x - 1)."
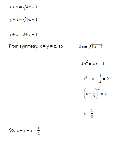
As follows:
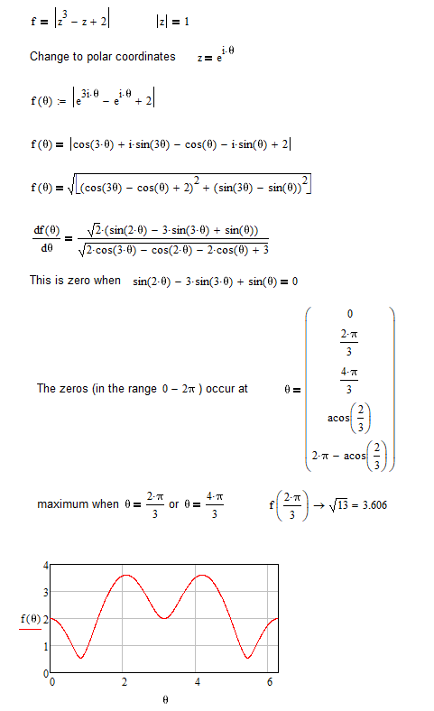
Like so:
As the magnitude of x gets very large, both the numerator and the denominator become dominated by the x2 term. Hence, in the limit as x tends to either +infinity or -infinity, y tends to x2/x2 = 1.
Hope the following helps:
Factor 1560 into its prime factors:
1560 = 2^3*3*5*13
To make this into a perfect square multiply by 2*3*5*13 = 390
n^2 = 1560*390 = 608400
Hence n = 780