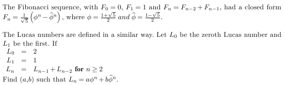
The Fibonacci sequence, with \(F_0 = 0\), \(F_1 = 1\) and \(F_n = F_{n - 2} + F_{n - 1}\), had a closed form \(F_n = \frac{1}{\sqrt{5}} \left( \phi^n - \widehat{\phi}^n \right),\) where \(\phi = \frac{1 + \sqrt{5}}{2} \; \text{and} \; \widehat{\phi} = \frac{1 - \sqrt{5}}{2}.\) The Lucas numbers are defined in a similar way. Let \(L_0\) be the zeroth Lucas number and \(L_1\) be the first. If \(\begin{align*} L_0 &= 2 \\ L_1 &= 1 \\ L_n &= L_{n - 1} + L_{n - 2} \; \text{for}\; n \geq 2 \end{align*}\) Find \((a,b)\) such that \(L_n = a\phi^n + b\widehat{\phi}^n.\)

\(\text{Fibonacci sequence $0,1,1,2,3,5,8,13,21,34,55,\ldots$} \\ \begin{array}{|lcr|} \hline a_0 = a_0 &=& 0\cdot a_1 + 1 \cdot a_0 \\ a_1 = a_1 &=& 1\cdot a_1 + 0 \cdot a_0 \\ a_2 = a_1+a_0 &=& 1\cdot a_1 + 1 \cdot a_0 \\ a_3 = a_2+a_1 &=& 2\cdot a_1 + 1 \cdot a_0 \\ a_4 = a_3+a_2 &=& 3\cdot a_1 + 2 \cdot a_0 \\ a_5 = a_4+a_3 &=& 5\cdot a_1 + 3 \cdot a_0 \\ a_6 = a_5+a_4 &=& 8\cdot a_1 + 5 \cdot a_0 \\ a_7 = a_6+a_5 &=& 13\cdot a_1 + 8 \cdot a_0 \\ a_8 = a_7+a_6 &=& 21\cdot a_1 + 13 \cdot a_0 \\ \ldots \\ a_n = a_{n-1}+a_{n-2} &=& F_n\cdot a_1 + F_{n-1} \cdot a_0 \\ && \boxed{a_n = F_n\cdot a_1 + F_{n-1} \cdot a_0 } \\\\ \text{Lucas numbers:} \\ a_0 = L_0 = 2 \\ a_1 = L_1 = 1 \\ a_n = L_n =F_n\cdot 1 + F_{n-1} \cdot 2 \\ && \boxed{L_n =F_n + 2F_{n-1}} \\ \hline \end{array} \)
\(\begin{array}{|rcll|} \hline F_n &=& \frac{1}{\sqrt{5}} \left( \phi^n - \widehat{\phi}^n \right) \\ F_{n-1} &=& \frac{1}{\sqrt{5}} \left( \phi^{n-1} - \widehat{\phi}^{n-1} \right) \\ \boxed{L_n =F_n + 2F_{n-1}} \\ L_n &=& \frac{1}{\sqrt{5}} \left( \phi^n - \widehat{\phi}^n \right) + 2\frac{1}{\sqrt{5}} \left( \phi^{n-1} - \widehat{\phi}^{n-1} \right) \\ &=& \dfrac{ \left( \phi^n - \widehat{\phi}^n \right)+2\left( \phi^{n-1} - \widehat{\phi}^{n-1} \right) } { \sqrt{5} } \\ &=& \dfrac{ \phi^n - \widehat{\phi}^n+2 \phi^{n-1} - 2\widehat{\phi}^{n-1} } { \sqrt{5} } \\ &=& \dfrac{ \phi^n+2 \phi^{n-1} - \widehat{\phi}^n - 2\widehat{\phi}^{n-1} } { \sqrt{5} } \\ &=& \dfrac{ \phi^n\left( 1+\dfrac{2}{\phi} \right) - \widehat{\phi}^n\left( 1+\dfrac{2}{\widehat{\phi}} \right) }{ \sqrt{5} } \quad | \quad \frac{1}{\phi} = \phi -1 \quad \frac{1}{\widehat{\phi}} = \widehat{\phi} -1 \\ &=& \dfrac{ \phi^n\Big( 1+2(\phi -1 ) \Big) - \widehat{\phi}^n\left( 1+2(\widehat{\phi} -1) \right) }{ \sqrt{5} } \\ &=& \dfrac{ \phi^n( 2\phi -1 ) - \widehat{\phi}^n\left( 2\widehat{\phi} -1 \right) }{ \sqrt{5} } \quad | \quad 2\phi -1 = \sqrt{5} \quad 2\widehat{\phi} -1= -\sqrt{5} \\ &=& \dfrac{ \phi^n\sqrt{5} - \widehat{\phi}^n\left( -\sqrt{5} \right) }{ \sqrt{5} } \\ &=& \dfrac{ \phi^n\sqrt{5} + \widehat{\phi}^n \sqrt{5} } { \sqrt{5} } \\ &=& \phi^n + \widehat{\phi}^n \\ \boxed{L_n =\phi^n + \widehat{\phi}^n } \\ \hline \end{array}\)
(a,b) = (1,1)
