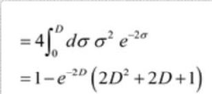
Suppose that $f(x)$ is a linear function satisfying the equation $f(x) = 4f^{-1}(x) + 6$. Given that $f(1) = 4$, find $f(2)$.

\(\text{1. $f(x)$ is a linear function}\)
\(\begin{array}{|lrcll|} \hline f(x) =& ax +b && \quad & | \quad f(1) = 4 \\\\ f(1) =& a\cdot1 +b &=& 4 \\ & \mathbf{a +b} &\mathbf{=}& \mathbf{4 } \qquad &(1) \\ & \mathbf{a } &\mathbf{=}& \mathbf{4-b } \\ \hline \end{array} \)
\(\text{2. $f^{-1}(x)=\ ? $ }\)
\(\begin{array}{|rcll|} \hline f(x) &=& ax +b \\ y &=& ax +b \\ ax &=& y-b \quad & | \quad : a \\ x &=& \dfrac{y-b}{a} \quad & | \quad x \leftrightarrow y \\ y &=& \dfrac{x-b}{a} \\ \mathbf{f^{-1}(x)} &\mathbf{=}& \mathbf{\dfrac{x-b}{a}} \\ \hline \end{array}\)
\(\text{3. $f(x) = 4f^{-1}(x) + 6$ }\)
\(\begin{array}{|rcll|} \hline f(x) &=& 4f^{-1}(x) + 6 \quad & | \quad x = 1 \\\\ f(1) &=& 4f^{-1}(1) + 6 \quad & | \quad f(1) = 4 \qquad f^{-1}(1) = \dfrac{1-b}{a} \\ 4 &=& 4 \left(\dfrac{1-b}{a} \right) + 6 \quad & | \quad - 6 \\ -2 &=& 4 \left(\dfrac{1-b}{a} \right) \quad & | \quad \cdot a \\ -2a &=& 4 (1-b) \\ -2a &=& 4-4b \quad & | \quad +4b \\ 4b-2a &=& 4 \quad & | \quad : 2 \\ \mathbf{2b-a} & \mathbf{=}& \mathbf{2} \qquad &(2) \\ \hline \end{array}\)
\(\text{4. $a=\ ? \qquad b=\ ?$ }\)
\(\begin{array}{|rcll|} \hline 2b-a & = & 2 \quad & | \quad a = 4-b \\ 2b-(4-b) & = & 2 \\ 2b-4+b & = & 2 \\ 3b-4 & = & 2 \quad & | \quad +4 \\ 3b & = & 6 \quad & | \quad :3 \\ \mathbf{ b} & \mathbf{=} & \mathbf{2} \\\\ a &=& 4-b \\ a &=& 4-2 \\ \mathbf{ a} & \mathbf{=} & \mathbf{2} \\ \hline \end{array}\)
\(\text{5. $f(x)=\ ?$ }\)
\(\begin{array}{|rcll|} \hline f(x) &=& ax +b \quad & | \quad a=2 \qquad b = 2 \\\\ \mathbf{ f(x)} & \mathbf{=} & \mathbf{2x +2} \\ \hline \end{array}\)
\(\text{6. $f(2)=\ ?$ } \)
\(\begin{array}{|rcll|} \hline \mathbf{ f(x)} & \mathbf{=} & \mathbf{2x +2} \quad & | \quad x = 2 \\\\ f(2) & = & 2\cdot 2 +2 \\ \mathbf{ f(2)} & \mathbf{=} & \mathbf{6} \\ \hline \end{array}\)
