heureka

avatar
Nom d'utilisateurheureka
But26404
Membership
Stats
Questions 17
Réponses 5678

 #1
avatar+26404 
+8

Gegeben sei die Funktion

\(f(x) = \dfrac{2}{1-x^2}\)
Zeigen Sie (mit vollständiger Induktion), dass die n-te  Ableitung von f von folgender Form ist:

\(f^{(n)} (x) = n! \left(\dfrac{1}{(1-x)^{n+1} }+ (-1)^n \dfrac{1}{(1+x)^{n+1}} \right)\)

 

Induktionsanfang für \(n_0\) gilt:

\(\begin{array}{|rcll|} \hline f^{(0)} (x) &=& 0! \left(\dfrac{1}{(1-x)^{0+1} }+ (-1)^0 \dfrac{1}{(1+x)^{0+1}} \right) \\\\ &=& 1\cdot \left(\dfrac{1}{1-x }+ 1\cdot \dfrac{1}{1+x} \right) \\\\ &=& \dfrac{1+x+1-x}{(1-x)(1+x) } \\\\ &=& \dfrac{2}{1-x^2}~ \checkmark \qquad f^{(0)} (x) = f (x)\\ \hline \end{array} \)

 

Induktionsvoraussetzung (I.V.):
Für ein beliebiges \(n \in \mathbb{Z}\) mit \(n \ge n_0\) gilt:

\(\begin{array}{|rcll|} \hline f^{(n)} (x) &=& n! \left(\dfrac{1}{(1-x)^{n+1} }+ (-1)^n \dfrac{1}{(1+x)^{n+1}} \right) \\ \hline \end{array}\)

 

Induktionsbehauptung: dann gilt auch für \((n+1)\)

\(\begin{array}{|rcll|} \hline f^{(n+1)} (x) &=& (n+1)! \left(\dfrac{1}{(1-x)^{(n+1)+1} }+ (-1)^{(n+1)} \dfrac{1}{(1+x)^{(n+1)+1}} \right) \\ \hline \end{array} \)

 

Induktionsschluss: \(f^{(n+1)} (x) = \left(f^{(n)}(x) \right)'\)

\(\begin{array}{|rcll|} \hline \left(f^{(n)}(x) \right)' &=& \left[ n! \left(\dfrac{1}{(1-x)^{n+1} }+ (-1)^n \dfrac{1}{(1+x)^{n+1}} \right) \right]' \\\\ &=& \Big[~ n! \left(~ (1-x)^{-(n+1)} + (-1)^n (1+x)^{-(n+1)} ~\right) ~\Big]' \\\\ &=& n! \Big[~\left(~ (1-x)^{-(n+1)} + (-1)^n (1+x)^{-(n+1)} ~\right) ~\Big]' \\\\ &=& n! \Big(~ -(n+1)(1-x)^{-(n+1)-1}\cdot (-1) + (-1)^n ( -(n+1))(1+x)^{-(n+1)-1}\cdot 1 ~\Big) \\\\ &=& n! \Big(~ (n+1)(1-x)^{-(n+1)-1} + (-1)^n (-(n+1))(1+x)^{-(n+1)-1} ~\Big) \\\\ &=& n!(n+1) \Big(~ (1-x)^{-(n+1)-1} + (-1)^n \cdot (-1)(1+x)^{-(n+1)-1} ~\Big) \\\\ &=& n!(n+1) \Big(~ (1-x)^{-(n+1)-1} + (-1)^n \cdot (-1)^1(1+x)^{-(n+1)-1} ~\Big) \\\\ &=& n!(n+1) \Big(~ (1-x)^{-(n+1)-1} + (-1)^{(n+1)}(1+x)^{-(n+1)-1} ~\Big) \\\\ &=& (n+1)! \Big(~ (1-x)^{-(n+1)-1} + (-1)^{(n+1)}(1+x)^{-(n+1)-1} ~\Big) \\\\ \left(f^{(n)}(x) \right)' &=& (n+1)! \left(~ \dfrac{1}{(1-x)^{(n+1)+1}} + (-1)^{(n+1)} \dfrac{1}{(1+x)^{(n+1)+1}} ~\right)~\checkmark \\ \hline \end{array}\)

 

 

laugh

17 déc. 2018
 #6
avatar+26404 
+9

Hallo,

ich bräuchte dringends Hilfe.

Die Aufgabe lautet: bestimmen Sie mit Hilfe der Partialbruchzerlegung den grenzwert der folge.

nun habe ich versucht die Partialbruchzerlegung zu rechnen es kommt mir aber falsch rüber und ich komm bei den Rest der Aufgabe auch nicht mehr klar.

Danke im Voraus.

 

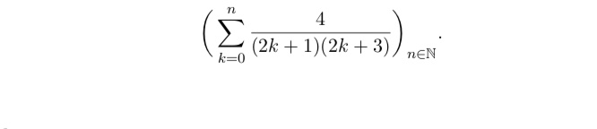
Wie berechne ich den Grenzwert der Folge ?

\(\begin{array}{|rcll|} \hline && \mathbf{\displaystyle \sum \limits_{k=0}^{n}\dfrac{4}{(2k+1)(2k+3)} } \\\\ &=& \displaystyle 4\sum \limits_{k=0}^{n}\dfrac{1}{(2k+1)(2k+3)} \\\\ &=& \displaystyle 4\sum \limits_{k=0}^{n} \dfrac12\left( \dfrac{1}{2k+1}-\dfrac{1}{2k+3}\right ) \\\\ &=& \displaystyle 2\sum \limits_{k=0}^{n} \left( \dfrac{1}{2k+1}-\dfrac{1}{2k+3}\right ) \\\\ &=& 2 \Big[ \left(\dfrac11 - \dfrac13\right)+\left(\dfrac13 - \dfrac15\right)+ \left(\dfrac15 - \dfrac19\right)+ \ldots \\ && +\left( \dfrac{1}{2n+1} - \dfrac{1}{2k+3}\right) \Big] \\\\ &=& 2 \Big[\mathbf{1} + \left(-\dfrac13+\dfrac13\right)+ \left(-\dfrac15+\dfrac15\right) + \left(-\dfrac19+\dfrac19\right) + \ldots \\ && + \left(-\dfrac{1}{2n+1}+\dfrac{1}{2n+1} \right) \mathbf{- \dfrac{1}{2n+3}} \Big] \qquad \text{Teleskopreihe} \\\\ \mathbf{\displaystyle \sum \limits_{k=0}^{n}\dfrac{4}{(2k+1)(2k+3)} }&\mathbf{=}& \mathbf{2 \left(1 - \dfrac{1}{2n+3} \right) } \\ \hline \end{array}\)

 

Grenzwert der Folge:

\(\begin{array}{|rcll|} \hline && \lim \limits_{n\to \infty} 2 \left(1 - \dfrac{1}{2n+3} \right) \\\\ &=& \lim \limits_{n\to \infty} \left(2 - \dfrac{2}{2n+3} \right) \\\\ &=& \lim \limits_{n\to \infty} \left(2 - \dfrac{2}{2n+3} \cdot \left(\frac nn \right) \right) \\\\ &=& \lim \limits_{n\to \infty} \left(2 - \dfrac{\frac{2}{n}}{2+\frac{3}{n}} \right) \quad | \quad n > 0! \\\\ &=& 2 - \dfrac{0}{2+0} \\\\ &=& 2 - 0 \\\\ &\mathbf{=}& \mathbf{ 2 } \\ \hline \end{array}\)

 

Der Grenzwert der Folge ist 2

 

laugh

14 déc. 2018
 #1
avatar+26404 
+12

A palindrome is an integer that reads the same forwards and backward.

How many positive 3-digit palindromes are multiples of 3?

 

\(\begin{array}{|r|r|r|r|} \hline & n & \text{palindrome } a(n) & \text{divisible by } 3 \\ \hline & 20& 1 01 \\ 1. & 21& 1 11 & \checkmark \\ & 22& 1 21 \\ & 23& 1 31 \\ 2. & 24& 1 41 &\checkmark \\ & 25& 1 51 \\ & 26& 1 61 \\ 3.& 27& 1 71 &\checkmark \\ & 28& 1 81 \\ & 29& 1 91 \\ \hline & 30& 2 02 \\ & 31& 2 12 \\ 4. & 32& 2 22 &\checkmark \\ & 33& 2 32 \\ & 34& 2 42 \\ 5. & 35& 2 52 &\checkmark \\ & 36& 2 62 \\ & 37& 2 72 \\ 6.& 38& 2 82 &\checkmark \\ & 39& 2 92 \\ \hline 7. & 40& 3 03 &\checkmark \\ & 41& 3 13 \\ & 42& 3 23 \\ 8. & 43& 3 33 &\checkmark \\ & 44& 3 43 \\ & 45& 3 53 \\ 9. & 46& 3 63 &\checkmark \\ & 47 & 3 73 \\ & 48& 3 83 \\ 10. & 49& 3 93 &\checkmark \\ \hline & 50& 4 04 \\ 11. & 51& 4 14 &\checkmark \\ & 52& 4 24 \\ & 53& 4 34 \\ 12. & 54& 4 44 &\checkmark \\ & 55& 4 54 \\ & 56& 4 64 \\ 13. & 57& 4 74 &\checkmark \\ & 58& 4 84 \\ & 59& 4 94 \\ \hline & 60& 5 05 \\ & 61& 5 15 \\ 14. & 62& 5 25 &\checkmark \\ & 63& 5 35 \\ & 64& 5 45 \\ 15. & 65& 5 55 &\checkmark \\ & 66& 5 65 \\ & 67& 5 75 \\ 16. & 68& 5 85 &\checkmark\\ & 69& 5 95 \\ \hline 17. & 70& 6 06 &\checkmark \\ & 71& 6 16 \\ & 72& 6 26 \\ 18. & 73& 6 36 &\checkmark \\ & 74& 6 46 \\ & 75& 6 56 \\ 19. & 76& 6 66 &\checkmark \\ & 77& 6 76 \\ & 78& 6 86 \\ 20. & 79& 6 96 &\checkmark \\ \hline & 80& 7 07 \\ 21. & 81& 7 17 &\checkmark \\ & 82& 7 27 \\ & 83& 7 37 \\ 22. & 84& 7 47 &\checkmark \\ & 85& 7 57 \\ & 86& 7 67 \\ 23. & 87& 7 77 &\checkmark \\ & 88& 7 87 \\ & 89& 7 97 \\ \hline & 90& 8 08 \\ & 91& 8 18 \\ 24. & 92& 8 28 &\checkmark \\ & 93& 8 38 \\ & 94& 8 48 \\ 25. & 95& 8 58 &\checkmark \\ & 96& 8 68 \\ & 97& 8 78 \\ 26. & 98& 8 88 &\checkmark \\ & 99& 8 98 \\ \hline 27. & 100& 9 09 &\checkmark \\ & 101& 9 19 \\ & 102& 9 29 \\ 28. & 103& 9 39 &\checkmark \\ & 104& 9 49 \\ & 105& 9 59 \\ 29. & 106& 9 69 &\checkmark \\ & 107& 9 79 \\ & 108& 9 89 \\ 30. & 109& 9 99 &\checkmark \\ \hline \end{array} \)

 

30  3-digit palindromes are divisible by 3.

 

 

laugh

14 déc. 2018
 #2
avatar+26404 
+9

Hab ein Problem eine Formel auf die relative Luftfeuchte umzustellen, da ein Logarithmus enthalten ist.
Es wäre super, wenn mir jemand helfen könnte.

 

237,3 * log10 (Relative Luftfeuchte) + 237,3 * log10(Sättigungsdruck/610,78)
============================================================== = Taupunkttemperatur
7,5 -  log10 (Relative Luftfeuchte) - log10 (Sättigungsdruck/610,78)

 

siehe: https://www.wetterochs.de/wetter/feuchte.html

 

Bei 50% rel.LF und einem Sättigungsdruck von 2338 Pascal kommt als Ergebnis eine Taupunkttemperatur von 9.3°C raus.
Aber ich würde gerne eine Taupunkttemperatur eingeben und das Programm berechnet die dazugehörige Luftfeuchte.

 

Bezeichnungen:
r   = relative Luftfeuchte
TD  = Taupunkttemperatur in °C
SDD = Sättigungsdampfdruck in Pa
a   = 7.5
b   = 237,3

 

\(\begin{array}{|rcll|} \hline T_D &=& \dfrac { b * \log_{10}(r) + b * \log_{10} \left( \frac{SDD}{610,78} \right) } { a - \log_{10}(r) - \log_{10} \left( \frac{SDD}{610,78} \right) } \\ \hline \end{array}\)

 

Mit den von dir angegebenen Größen ergibt sich:

\(\begin{array}{|rcll|} \hline T_D &=& \dfrac { 237,3 * \log_{10}(0,5) + 237,3 * \log_{10} \left( \frac{2338}{610,78} \right) } { 7,5 - \log_{10}(0,5) - \log_{10} \left( \frac{2338}{610,78} \right) } \\\\ T_D &=& \dfrac { -237,3 * 0,30102999566 + 237,3 * 0,58295969919 } { 7,5 +0,30102999566 - 0,58295969919 } \\\\ T_D &=& \dfrac {66,9019186462 } {7,21807029648 } \\\\ T_D &=& 9,26867097413 °C \\ \mathbf{T_D} &\mathbf{=}& \mathbf{9,3 °C} \\ \hline \end{array}\)

 

Formelumstellung nach r (relative Luftfeuchte):

\(\begin{array}{|rcll|} \hline \mathbf{T_D} & \mathbf{=} & \mathbf{ \dfrac { b * \log_{10}(r) + b * \log_{10} \left( \frac{SDD}{610,78} \right) } { a - \log_{10}(r) - \log_{10} \left( \frac{SDD}{610,78} \right) } } \\\\ T_D \left( a - \log_{10}(r) - \log_{10} \left( \frac{SDD}{610,78} \right) \right) &=& b * \log_{10}(r) + b * \log_{10} \left( \frac{SDD}{610,78} \right) \\\\ T_D* a - T_D*\log_{10}(r) - T_D*\log_{10} \left( \frac{SDD}{610,78} \right) &=& b * \log_{10}(r) + b * \log_{10} \left( \frac{SDD}{610,78} \right) \\\\ b * \log_{10}(r) + T_D*\log_{10}(r) &=& T_D* a - T_D*\log_{10} \left( \frac{SDD}{610,78} \right)\\ && - b * \log_{10} \left( \frac{SDD}{610,78} \right) \\\\ (T_D+b)* \log_{10}(r) &=& T_D* a - (T_D+b)* \log_{10} \left( \frac{SDD}{610,78} \right) \\\\ \log_{10}(r) &=&\frac{T_D*a}{T_D+b} - \log_{10} \left( \frac{SDD}{610,78} \right) \\\\ r &=& 10^{\left(\frac{T_D*a}{T_D+b} - \log_{10} \left( \frac{SDD}{610,78} \right) \right)} \\\\ r &=& 10^{\left(\frac{7,5*T_D}{237,3+T_D} - \log_{10} \left( \frac{SDD}{610,78} \right) \right)} \\\\ r &=& \frac{610,78}{SDD}*10^{\left(\frac{7,5*T_D}{237,3+T_D} \right)} \\\\ \mathbf{ \text{relative Luftfeuchte} }& \mathbf{=} & \mathbf{ \left( \frac{610,78}{\text{(Sättigungsdruck)}} \right) *10^{\left(\frac{7,5*\text{(Taupunkttemperatur)} }{237,3+\text{(Taupunkttemperatur)}} \right)} } \\ \hline \end{array}\)

 

Die umgestellte Formel lautet:

\(\large{\mathbf{ \text{relative Luftfeuchte} } \mathbf{=} \mathbf{\left( \frac{610,78}{\text{(Sättigungsdruck)}} \right)* 10^{\left(\frac{7,5*\text{(Taupunkttemperatur)} }{237,3+\text{(Taupunkttemperatur)}} \right)} } }\)

 

laugh

13 déc. 2018
 #8
avatar+26404 
+9

General Solution - Trigonometry

Sin Ø  - Sin 2Ø = Sin 4Ø - Sin 3Ø

 

\(\begin{array}{ rcl } \sin(\phi) - \sin(2\phi) &=& \sin(4\phi) - \sin(3\phi) \\ &\text{or} & \\ \sin(3\phi)+\sin(\phi) &=& \sin(4\phi) + \sin(2\phi) \\ \end{array} \)

 

Formula:

\(\begin{array}{|rcll|} \hline \underbrace{\sin(3\phi)+\sin(\phi)}_{=2\sin(2\phi)\cos(\phi)} &=& \underbrace{\sin(4\phi) + \sin(2\phi)}_{=2\sin(3\phi)\cos(\phi)} \\\\ 2\sin(2\phi)\cos(\phi) &=& 2\sin(3\phi)\cos(\phi) \\\\ \sin(2\phi)\cos(\phi) &=& \sin(3\phi)\cos(\phi) \\\\ \sin(3\phi)\cos(\phi) -\sin(2\phi)\cos(\phi) &=& 0 \\\\ \cos(\phi)\Big(\sin(3\phi)-\sin(2\phi) \Big) &=& 0 \\ \hline \end{array} \)

 

Formula:

\(\begin{array}{|rcll|} \hline \cos(\phi)\Big(\underbrace{\sin(3\phi)-\sin(2\phi)}_{=2\cos(\frac52\phi)\sin(\frac12\phi)} \Big) &=& 0 \\\\ \cos(\phi)2\cos(\frac52\phi)\sin(\frac12\phi) &=& 0 \quad | \quad :2 \\\\ \large{\mathbf{\cos(\phi)\cos(\frac52\phi)\sin(\frac12\phi)} }& \large{\mathbf{=}} & \large{\mathbf{0}} \\ \hline \end{array}\)

 

General Solution:

\(\begin{array}{|lrcll|} \hline 1. & \cos(\phi) &=& 0 \\ & \phi &=& 2n\pi\pm\arccos(0) \\ & \phi &=& 2n\pi\pm \frac{\pi}{2} \quad \Rightarrow \quad \mathbf{\phi = (2n-1)\frac{\pi}{2}} \\ \hline \end{array}\)

\(\begin{array}{|lrcll|} \hline 2. & \cos(\frac52\phi) &=& 0 \\ & \frac52\phi &=& 2n\pi\pm\arccos(0) \\ & \frac52\phi &=& 2n\pi\pm \frac{\pi}{2}\quad | \quad \cdot \frac25 \\ & \phi &=& \frac45 n\pi\pm \frac{\pi}{5} \quad \Rightarrow \quad \mathbf{\phi = (2n-1)\frac{\pi}{5}} \\ \hline \end{array}\)

\(\begin{array}{|lrcll|} \hline 3. & \sin(\frac12\phi) &=& 0 \\ & \frac12\phi &=& n\pi+(-1)^n \arcsin(0) \\ & \frac12\phi &=& n\pi+(-1)^n \pi \quad | \quad \cdot 2 \\ & \phi &=& 2n\pi+(-1)^n 2\pi \quad \Rightarrow \quad \mathbf{\phi = 2n\pi} \\ \hline \end{array} \)

 

laugh

12 déc. 2018