Dazu braucht man erst mal die Summenforrmel. Die kann man sich mit Hilfe von Werten überlegen.
Vielleicht kannst Du meine Überlegungen nachvollziehen.


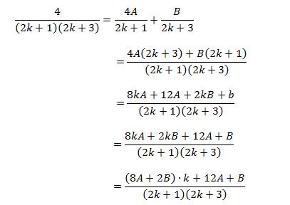
Um den Grenzwert ermitteln zu können, muss man die höchste vorkommende Potenz ausklammern und kürzen.
1/x oder 2/3 usw. gehen gegen Null, wenn x gegen Unendlich geht.