Bei einer Verhältnisgleichung kann man über Kreuz multiplizieren.
Ich habe eine Beispielaufgabe:
1.
2.
.
3.
https://www.mathekalender.de/index.php?page=downloadProblem&problemID=4
Es gibt 3 Gleichungen und 4 Variable.
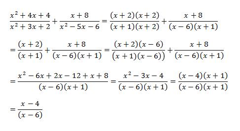
15 zweitel + 10 fünfzehntel - 2 drittel
Ich starte auch noch einen Erklärungsversuch.
Ja, das ginge auch.
Das ist die ganz ausführliche Variante.
Kann man auch rauskopieren und in ein Word-Dokument einfügen und anschließend ausdrucken.
Falls noch Fragen sind, melde dich noch mal.
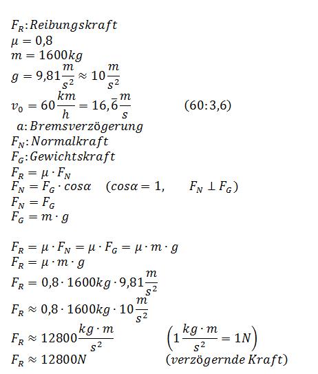
Hallo.
ist es möglich mit folgende Angaben den Weg zu berechnen
Masse Fahrzeug 1600kg
Geschwindigkeit 60 Km/H
alle Räder blockieren
Gleitreibungszahl 0,8
gesucht werden Weg sowie Zeit zum Stillstand