Kann mir einer bitte weiter helfen? Wie berechne ich die Ungleichung: |(x^2)-9|<|x-1|? Darf ich die quadrieren oder muss ich eine Fallunterscheidung machen? Würde mich sehr über eine Antwort freuen!
c)Es gibt im Internet Rechner. Man braucht allerdings eine Nullstelle. Diese kan man aus der Zeichnung ablesen.
https://www.arndt-bruenner.de/mathe/scripts/polynomdivision.htm
Mir ist ein Fehler unterlaufen. Unter nun weiter mit u muss es heißen :(u-2) und nicht :(x-2)
So, jetz kommt erst mal die aufgabe a)
b)
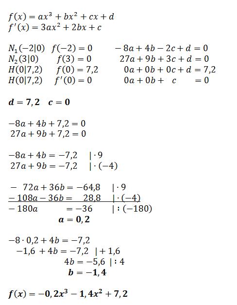
ganzrationale Funktion 3.grades hat den Hochpunkt (0/7,2). Funktion hat Nullstelle
n bei xn1=-2 und xn2=3. Wie lautet die Funktionsgleichung?
The X intercepts of the parabola,
y= 2x^2 + 13x - 7
are at (p,0) and (q,0) Find P and Q
Ich hoffe, es stimmt so.
Man kann es nicht richtig lesen. Die Hochzahlen sind nicht lesbar-
Alles klar? Oder sind noch Fragen? Dann bitte melden!
Zum Schluss sollte 1/6 rauskommen und es kommt auch raus.
Each of these circles represents a pizza cut into 10 equal slices, and the yellow slices are the ones eaten by Larry.
If Larry ate L% of the total amount of pizzas, what is the value L of ?