Hallo Lukas,
man verwendet die Ähnlichkeit der zweier Dreiecke und einen Strahlensatz.
Q1)
Q2)
Help me asap
100% - 5% = 95% = 0,95
Beispiel:
x ==> 100%
190 ==> 95%
x = 190*100/95
x = 200
oder
190 : 0,95 = 200
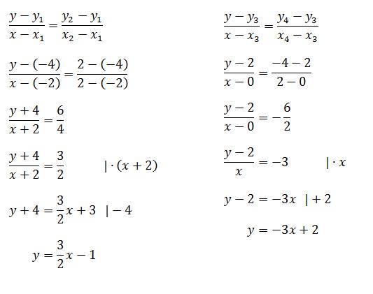
Graph the system of equation on graph paper.
(2|7)
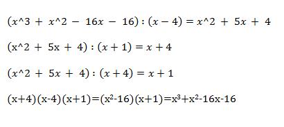
Determine whether each binomial is a factor of x^3 + x^2 - 16x - 16.
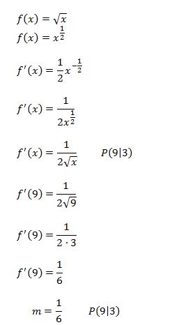
Find an equation of the tangent line to the curve at the given point.
0,075= (0,15b)/(1-0,15b)
Wie rechne ich dies? Muss ich die Definitionslücke berechnen? Wenn ja, wie mache ich das?