https://web2.0rechner.de/fragen/exponentialgleichungen-nach-x-aufl-sen
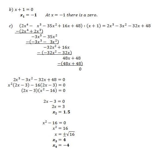
b.) Explain what your answer tells you about x + 1 as a factor.
It tells you that when the binomial x + 1 is divided with j(x) then is it divided equally with a remainder of 0 so it is a factor.
c.) Algebraically find the remaining zeros of j(x).
Heinz lässt seinen Lenkdrachen steigen. Die Schnurlänge beträgt b=60m und a=29 Grad. Er lässt die Schnur 1,5 m über dem Erdboden! Wie hoch steht der Drachen?
Dein Hoffen ist vergeblich.
Hier ist erst mal die erste Aufgabe:
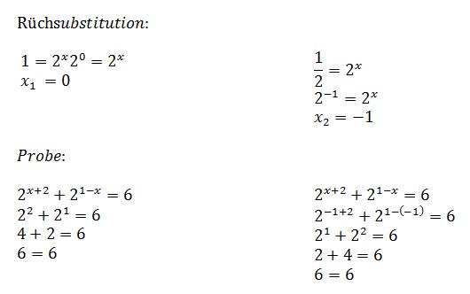
Die zweite Aufgabe:
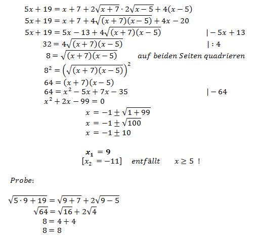
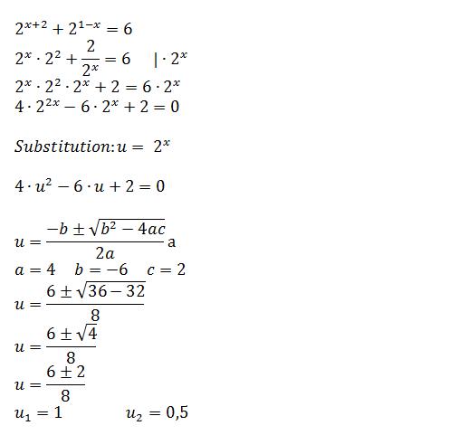
Aufgabe 3:
(6-3)/(12-(-6))=3/18=1/6
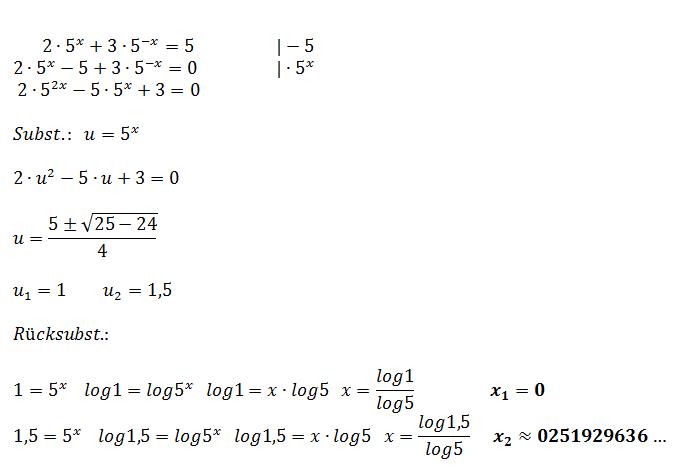
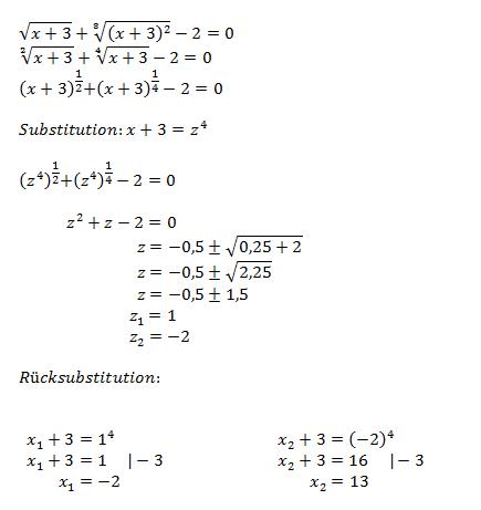
Lösung mit Substitution:
Einen kürzeren weg gibt es nicht.
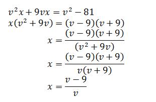
Die Fallunterscheidung für v:
Ich frage mich nur, was das mit Fallunterscheidung zu tun haben soll?