6*7+3*7/2=42+10.5=52,5units2
You are going to transform rectangle ABCD so that its image is in Quadrant IV (the lower-right quadrant), as shown here. You are going to do it in three different ways.
You can read everything now.
Let f(x) = In(3x)+2.5
what is the average year rate of change of f(x) from 2 to 7
round your answer to the nearest hundredth.
Let f(x) = x^2 -4
what is the average rate of change f(x) from -5 to -2
C. The distance plane A traveled is 1 h greater than the distance plane B traveled in 1 h
One of these triangles is the image of the other triangle after dilation.
What are the coordinates of the center of dilation?
What is the scale factor?
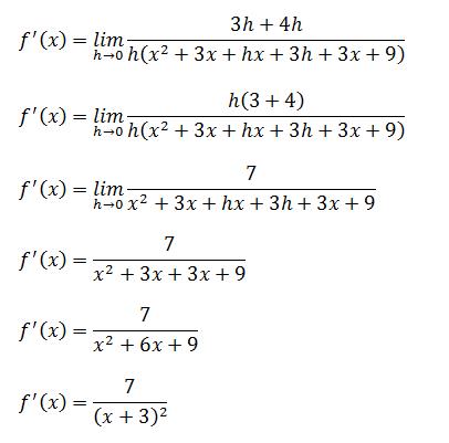
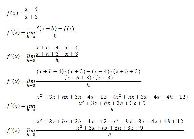
For function f, construct and simplify the difference quotient
f(x) = (x-4)/(x+3)
The time is 17:00 what is the time after 237 minutes?
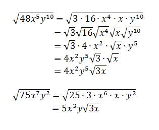
Rewrite in simplest radical form:
löse die gleichung für die angegebenen parameterwerte:
ax = 5a-3 a ∈ {-3;0;2}
a = -3
-3x = 5*(-3)-3
-3x = -15-3
-3x = -18 | : (-3)
x = 6 L={6}
a = 0
0x = 5*0-3
0 = -3 leere Menge, keine Lösung
a = 2
2x = 5*2-3
2x = 10-3
2x = 7 | : 2
x = 3,5 L={3,5}