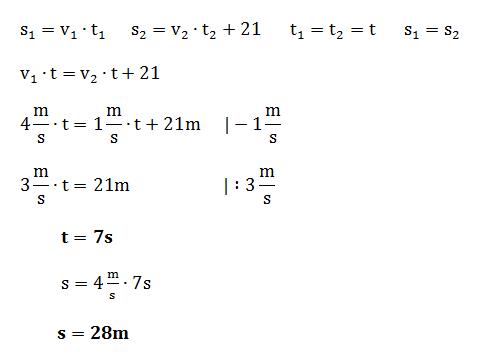
A pair of kids and a pair of adults decided to compete in a three-legged race. The kids got to start 21 meters ahead of the adults, since they had shorter legs. When they were told to start, the kids hobbled forward at a rate of 1 meter per second, and the adults hobbled after them at a rate of 4 meters per second. Soon they were side-by-side. How long did that take? How far did the adults go?


