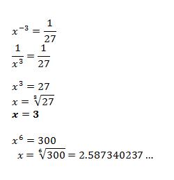
x^-3 = 1/27
x^6 = 300
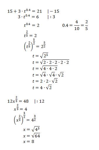
15 + 3 * t^04 = 21
12x^2/3 = 48
In the graph a line intersects the points A(0,1) and B(5,3).
a. Give an equation for line l
b. Give an equation for line m that is parallel to line l and goes through the point of intersection C(2,0)
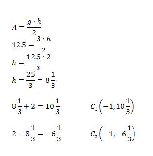
Right triangle ABC is on a coordinate plane. Segment AB is on the line y = 2 and is 3 units long. Point C is on the line x = −1. If the area of ΔABC is 12.5 square units, then find a possible y-coordinate of point C.
An automated machine takes any cardboard rectangle and cuts off a square whose side length is equal to the shorter side length of the rectangle. Peter had a rectangle and, using only the machine, got out of it 2 large squares, 3 medium squares, and 5 small squares whose side length is 10 cm. What were the dimensions of Peter's rectangle?
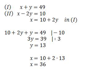
The sum of two numbers is 49. If twice the smaller number is subtracted from the larger number, the result is 10. Find the two numbers.
In four years time khairul's mother will be three times as old as khairul.Six years ago,his mother was seven times as old as him.find:khairul's present age,the age of his mother when he was born
3x - 4,5 = 1,5 |+4,5
3x = 6 | : 3
x = 2
At 9:00 a.m , Gwen leaves the Batavia and travels at a rate of 40mph . At 10:00 a.m. , Welch leaves Geneva at a rate of 60mph and travels towards Batavia. If the distance between Batavia and Geneva is 115 miles , at what time will Welch pass Gwen?
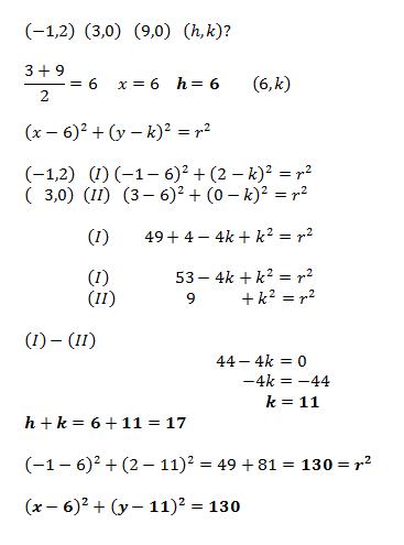
This circle passes through the points $(-1, 2)$, $(3,0)$ and $(9,0)$. The center of the circle is at $(h,k)$. What is the value of $h+k$?
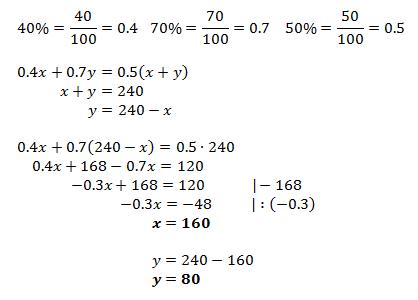
A 40% antifreeze solution is to be mixed with a 70% antifreeze solution to get 240 liters of a 50% solution. How many liters of the 40% solution and how many liters of the 70% solution will be used?