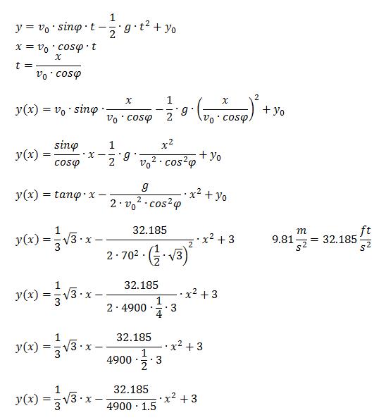
(b) How far did the ball travel horizontally? Use your answer from Part (a) in your calculations. Round your answer to the nearest tenth of a foot.



(a) No one interferes with the ball. How long does it take the ball to hit the ground? Round your answer to the nearest hundredth of a second. Show all your work.

