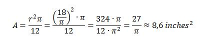
A janitor found a slice of pie left in a refrigerator he was cleaning. He measured the crust edge as 3 inches long, and the angle of the slice was 30°. Find the following and give your exact answers:
a) Radius and diameter of the original pie

b) Area of the pie slice

