Find the equation of the line parallel to 6x + 3y - 11 = 0 that goes through the point (-2,5).
Dichte = Masse/Volumen
Masse = Dichte * Volumen
m = 19,3 kg/dm3 * 4dm3
m = 77,2kg
Ich glaube nicht. Der Klumpen ist ganz schön schwer.
Find y. Simplify completely.
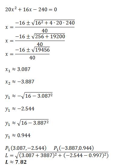
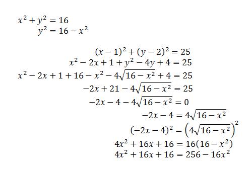
Find the length of the common chord of the two circles x^2 + y^2 = 16 and (x - 1)^2 + (y - 2)^2 = 25.
aircraft 1: x + 100
aircraft 2: x
aircraft 3: x - 27
3x + 73 = 373 |-73
3x = 300 | :3
x = 100
x + 100 = 200
x - 27 = 73
C''(-10,-2)
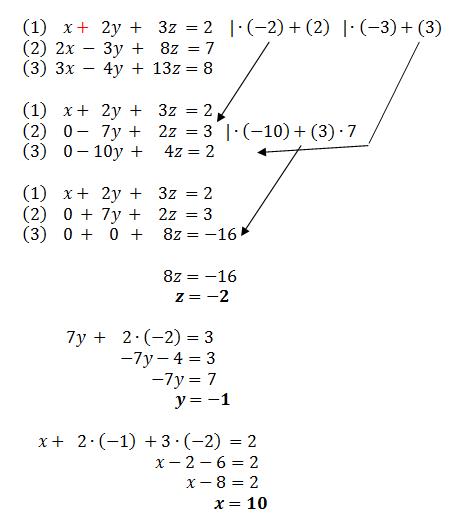
The equation system has no solution.
But if it were called that, there would be a solution.
Here is the answer:
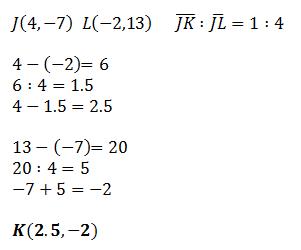
Given the points J(4,-7) and L(-2,13), find the coordinates of point K on JL such that the ratio of JK to JL is 1:4
Given the points C(-1,-5) and D(-7,-11), find the coordinates of point E on CD such that the ratio of CE to ED is 5:3