Given Q = (-17,2) and S = (5,10), find the coordinates of R such that the ratio of QR to RS is 3:5
x = 40° + 55°
x = 95°
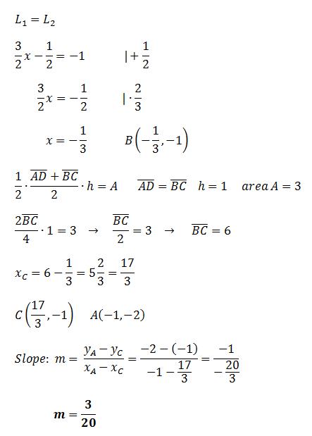
Line L_1 has equation 3x-2y=1 and goes through A=(-1,-2). Line L_2 has equation y=-1 and meets line L_1 at point B. Line L_3 has positive slope, goes through point A, and meets L_2 at point C. The area of triangle ABC is 3. What is the slope of L_3?
Wie dividiert man einen bruch ?
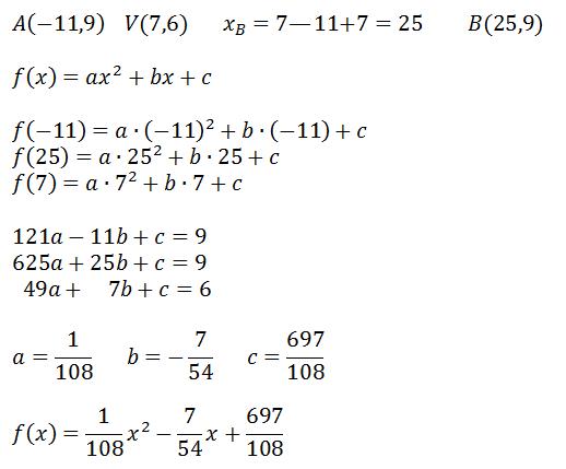
Opens left or right, vertex: (7, 6); passes through (−11,9) . What is the equation for parabola?
x/25 = 63/35
x =63/35*25
x = 45
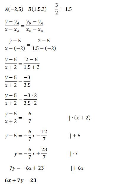
Find the equation of the line passing through the points (-2,5) and (3/2, 2). Express the answer in standard form.
Point K is on line segment JL. Given KL = 2x – 2, JL = 4x + 9, andJK = 5x + 2, determine the numerical length of JL.
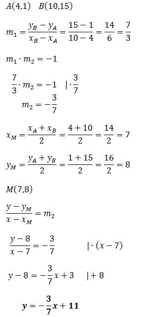
A is th point (4, 1) and B is the point (10, 15). Find the equation of the perpendicular bisector of the line AB.
Find the area of triangle RST.