Hallo,
ich komme gerade etwas nicht weiter. Die Informationen die gegeben sind, muss ich ja im prinzip in die Formel einfügen. Muss ich es aber noch Aufleiten? Das verwirrt mich, da ja bereits "F(s)". Und wenn ich aufleiten muss, wie leite ich dann eine Formel auf? Kann mir da jemand helfen?:-)
Außerdem verstehe ich die b) nicht, was genau ist da gefragt ?


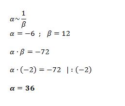
Die Zahlenwerte kannst Du selbst ausrechnen. Auf jeden Fall stimmt die Einheit. Ich hoffe dass ich mich nicht verrechnet habe.
Um die Erdanziehungskraft zu überwinden, braucht man die erste astronomische Geschwindigkeit. Darüber findest Du sicher etwas im Netz.
