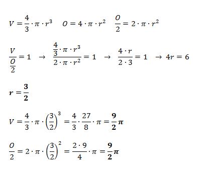
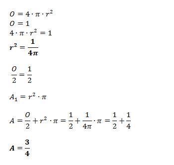
1)The volume of a sphere is numerically equal to half its surface area. What is the radius of the sphere?

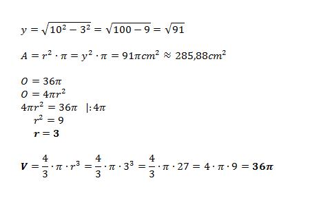
2)A plane cuts through a sphere with diameter 20 cm, but the closest it gets to the center is 3 cm. What is the area of the intersection of the sphere and the plane in sq cm?

