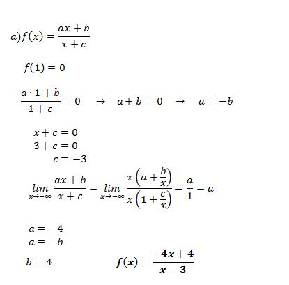
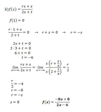
A function $f$ has a horizontal asymptote of y = -4,$ a vertical asymptote of x = 3,$ and an x-intercept at S(1,0).
(a): Let f be of the form f(x) = \frac{ax+b}{x+c}.
Find an expression for f(x).
(b): Let f be of the form f(x) = \frac{rx+s}{2x+t}.
Find an expression for f(x).


