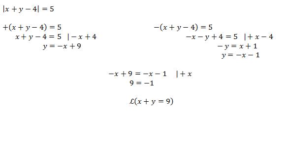
|x+y-4|=5
A point is selected at random inside the given figure. What is the probability the point will be in the region labeled D? Choose your answer, as a fraction in simplest form. P(D) =
Number 41.
Please help asap!
How many tables are there in the room of each type?
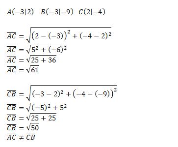
Which of the coordinates presented in the list of options are the vertices of a right isosceles triangle?
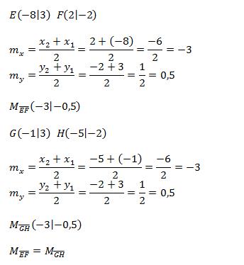
A parallelogram has vertices E(−8, 3), F(2, −2), G(−1, 3), and H(−5, −2). What are the coordinates of the midpoint of each diagonal?
In the diagram below, lines k and l are parallel. Find the measure of angle in degrees.
What is (f−g)(x)?