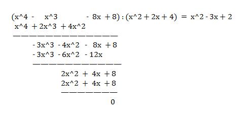
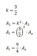
A frustum of a right circular cone is formed by cutting a small cone off of the top of a larger cone. If a particular frustum has an altitude of $24$ centimeters, the area of its lower base is $225\pi$ sq cm and the area of its upper base is $25\pi$ sq cm, what is the altitude of the small cone that was cut off?

