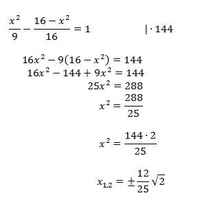
1) The sides of a triangle are $16,$ $17,$ and $17.$ Find the circumradius.

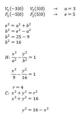
2)The sides of a triangle are 6,8 and 10.If x is the area of the circumcircle, and y is the area of the incircle, then find x-y

3) The sides of a triangle are $16,$ $17,$ and $17.$ Find the inradius.

4) In triangle ABC, M is the midpoint of line AB. Let D be the point on line BC such that line AD bisects angle BAC and let the perpendicular bisector of line AB intersect line AD at P. If AB = 36 and MP = 9 then find the distance from P to line AC.

