Was checkst du net?
Du solltest deine Frage schon etwas genauer formulieren.
The volume of a cube is nuemrically equal to the surface area of a cube. What is the side length of the cube?
The rectangle in the diagram has an area equal to 640 \text{cm}^2cm2.
Points B and F are midpoints of sides AC and AE, respectively.
What is the area of triangle BDF in \text{cm}^2?cm2?
In a large equilateral triangle, we draw the incircle. We then draw a smaller equilateral triangle in the incircle.
What is the ratio of the area of the smaller equilateral triangle to that of the larger equilateral triangle?
△ABC is a right triangle and line segment AD is an altitude. If AB = 10 and BD = 8 then what is the area of \△ABC?
1,5l Gebräu haben 48% Alkohol. Wieviel Alkohol sind es noch, wenn man 0,5l Wasser dazugiesst?
http://w3.restena.lu/ddnuc/COURS/3/310m.htm
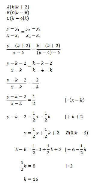
If the points (k, k + 2), (0, k - 6), (k - 4, k) all lie on the same line, find k.
Find the area of the triangle whose vertices are O(0,0), A(6,3) and B(1, -7).
Circle A and circle B are concentric. A chord of circle A that is tangent to circle B has a length that is twice the radius of circle B. What is the ratio of the area of circle A to the area circle B?