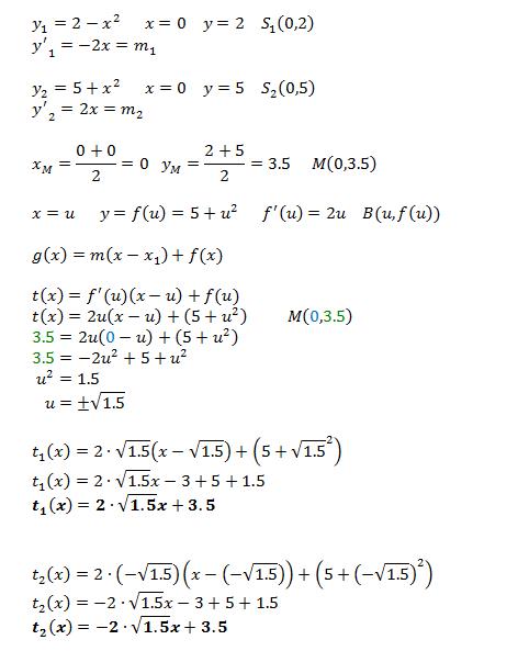
Given the two parabolas y = 2 - x^2 and y = 5 + x^2, determine the equations of all common tangents.
In triangle ABC, perpendiculars from A to the bisectors of anlge B and angle C meet the bisectors in D and E, respectively. The line through D and E intersects AC at X and AB at Y. Find the ratio of the area of XYBC to the area of ABC.
Let a be the area of an equilateral triangle, and let b be the area of another equilateral triangle inscribed in the incircle of the first triangle. What is a/b?
In the diagram, ZW and XY are perpendicular, XW = 16, and WY = 9. Find ZY + XY.
If the triangles are isosceles, what is the area of the quadrilateral?
Quadrilaeral ABCD has right angles at B and D. If ABCD is a kite shaped with AB = AD = 20 and BC = CD = 15, find the length of the radius of the circle inscribed in ABCD.
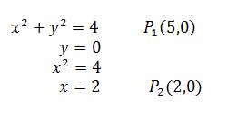
Find the point on the curve x^2 + y^2 = 4 that is closest to (5,0).
In the figure AC is a common tangent of two touching circles. If B is the touching point of both circles then which is of the following is true about angle ABC?
Du musst uns schon Beispiele schicken. Es gibt einfache und auch umfangreichere Gleichungen.
Die Temperatur in der Erdkruste steigt um 25C pro 1000 Meter Tiefe und der Druck steigt um 26000 Pascal pro Kilometer. Berechnen Sie den Druck und die Temperatur in einem Sediment, das unter 3600 Metern anderer Gesteine liegt.