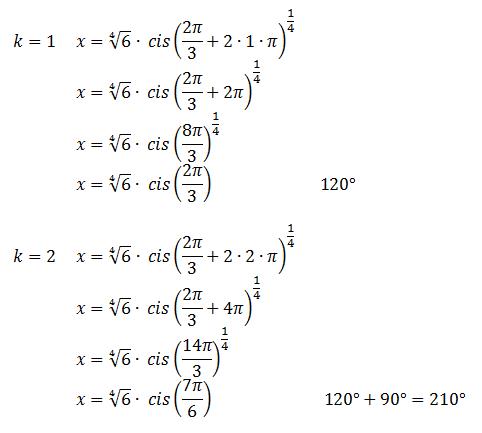
Hallo, meine Idee ist mit einer Hilfsebene zu arbeiten. Sie verläuft parallel zur y-Achse entlang der chinesischen Mauer. Die Hubschraubergerade
schneidet diese Ebene in einem Punkt. Der z-Wert ist dann die Höhe.



https://www.matheretter.de/geoservant/de/?draw=punkt(1%7C2%7C3%20%22M%22)+punkt(1%7C2%7C0%20%22N%22)+punkt(1%7C0%7C0%20%22P%22)+vektor(1%7C2%7C0%200%7C0%7C3%20%22a%22)+vektor(1%7C2%7C0%200%7C-2%7C0%20%22b%22)+punkt(1%7C0%7C3%20%22Q%22)+gerade(1%7C0%7C3%201%7C2%7C3)+ebene(1%7C2%7C3%201%7C2%7C0%201%7C0%7C0)+gerade(2%7C4%7C6%204%7C3%7C7)+punkt(1%7C4.5%7C5.5%20%22D%22)
Mit anderen Werten erstellt.
Schnittwinkel zwischen Ebene und Gerade:https://www.youtube.com/watch?v=q0f3vaaXKmc
